Официальное опубликование правовых актов
ОФИЦИАЛЬНОЕ ОПУБЛИКОВАНИЕ
Постановление Правительства Калужской области от 19.12.2025 № 817
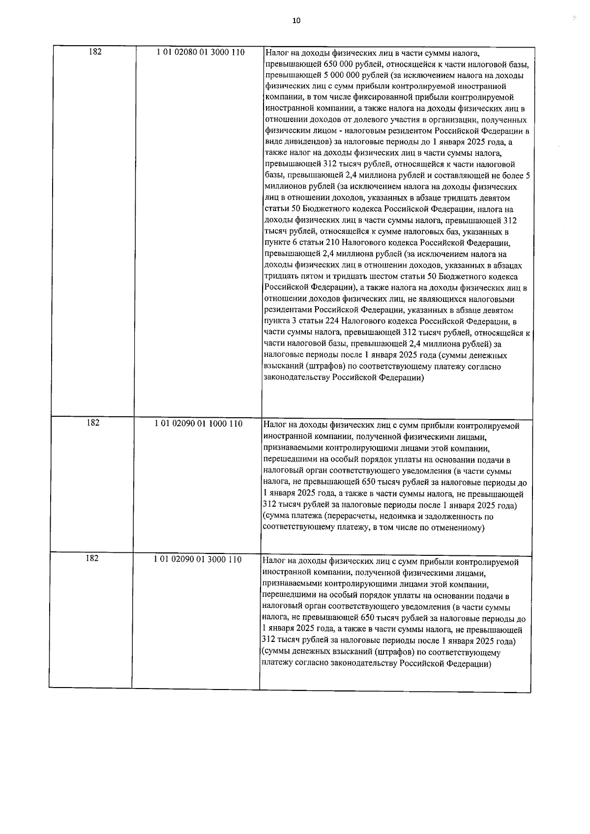
"О внесении изменения в постановление Правительства Калужской области от 23.12.2021 № 923 "Об утверждении перечня главных администраторов доходов областного бюджета, порядка и сроков внесения изменений в перечень главных администраторов доходов областного бюджета" (в ред. постановлений Правительства Калужской области от 30.12.2022 № 1040, от 09.01.2024 № 12, от 23.12.2024 № 794)"
Номер опубликования: 4000202512240008
Дата опубликования: 24.12.2025
Страница №11 из 82:
Увеличить