Постановление Правительства Калужской области от 16.12.2025 № 800
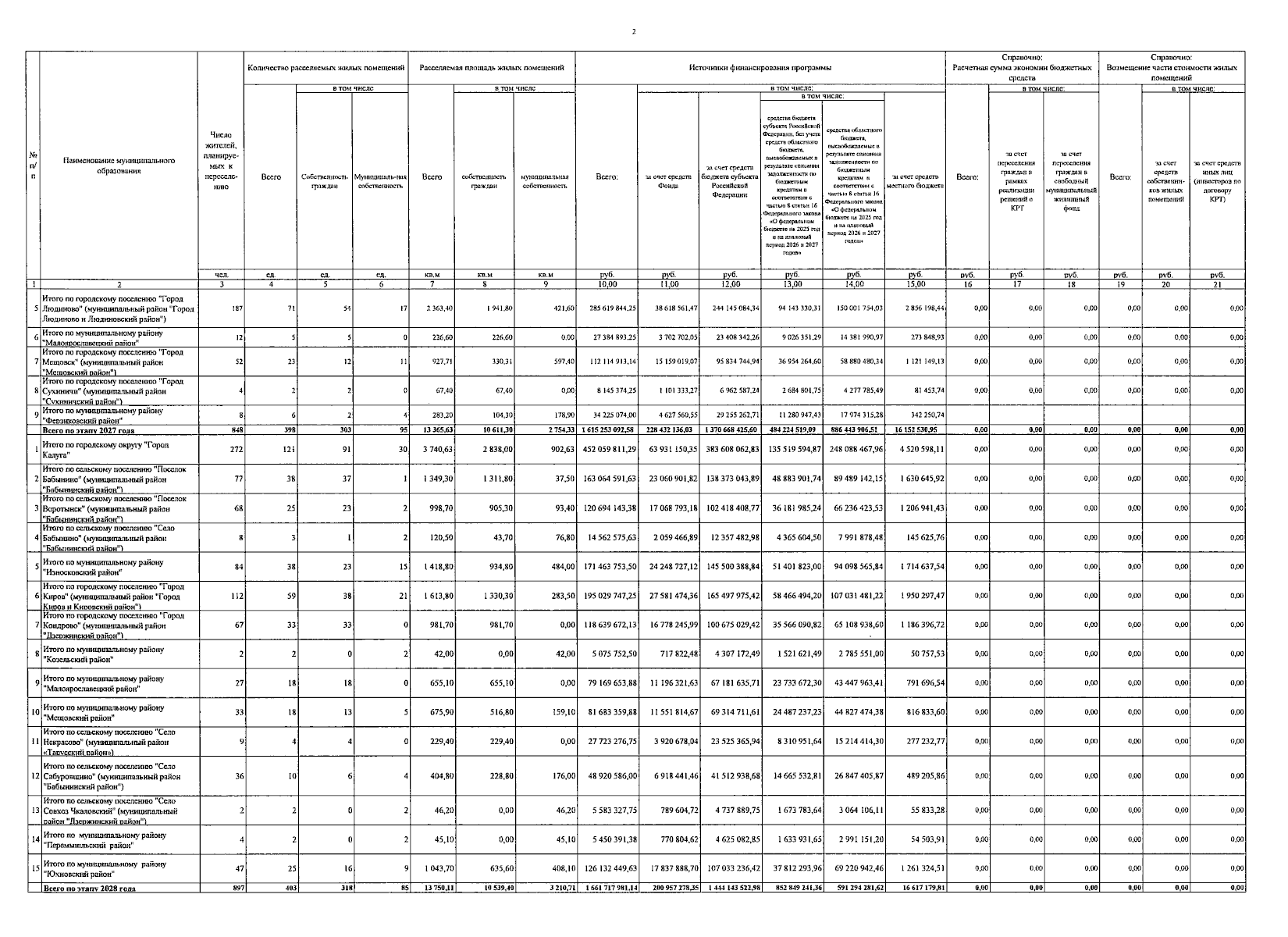
"О внесении изменений в постановление Правительства Калужской области от 29.01.2025 № 55 "Об утверждении региональной адресной программы по переселению граждан из аварийного жилищного фонда на территории муниципальных образований Калужской области на 2025 - 2030 годы" (в ред. постановлений Правительства Калужской области от 07.04.2025 № 258, от 22.07.2025 № 453, от 22.08.2025 № 518)"
"О внесении изменений в постановление Правительства Калужской области от 29.01.2025 № 55 "Об утверждении региональной адресной программы по переселению граждан из аварийного жилищного фонда на территории муниципальных образований Калужской области на 2025 - 2030 годы" (в ред. постановлений Правительства Калужской области от 07.04.2025 № 258, от 22.07.2025 № 453, от 22.08.2025 № 518)"
Номер опубликования: 4000202512190011
Дата опубликования:
19.12.2025
