Официальное опубликование правовых актов
ОФИЦИАЛЬНОЕ ОПУБЛИКОВАНИЕ
Постановление Губернатора Калужской области от 20.10.2025 № 583
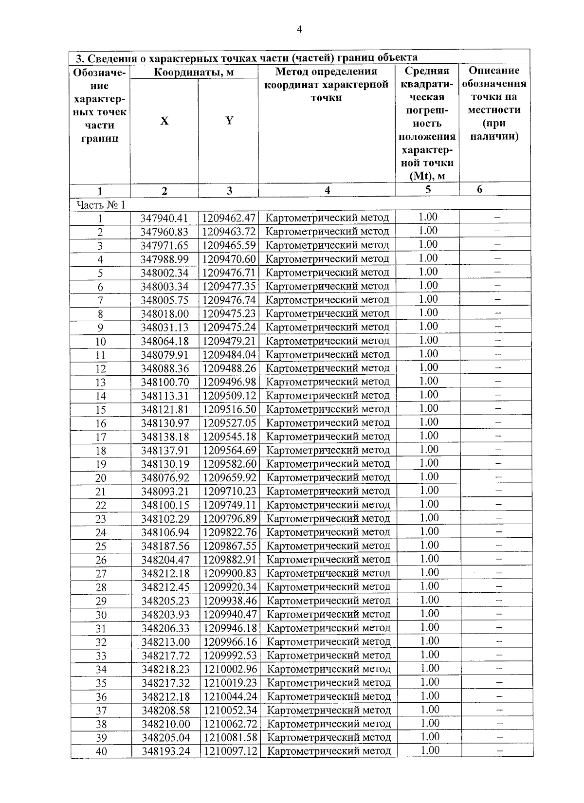
"Об установлении охранной зоны особо охраняемой природной территории регионального значения – памятника природы "Поселение лесных муравьев "Муравьиные столбы"
Номер опубликования: 4000202510230025
Дата опубликования: 23.10.2025
Страница №4 из 12:
Увеличить