Официальное опубликование правовых актов
ОФИЦИАЛЬНОЕ ОПУБЛИКОВАНИЕ
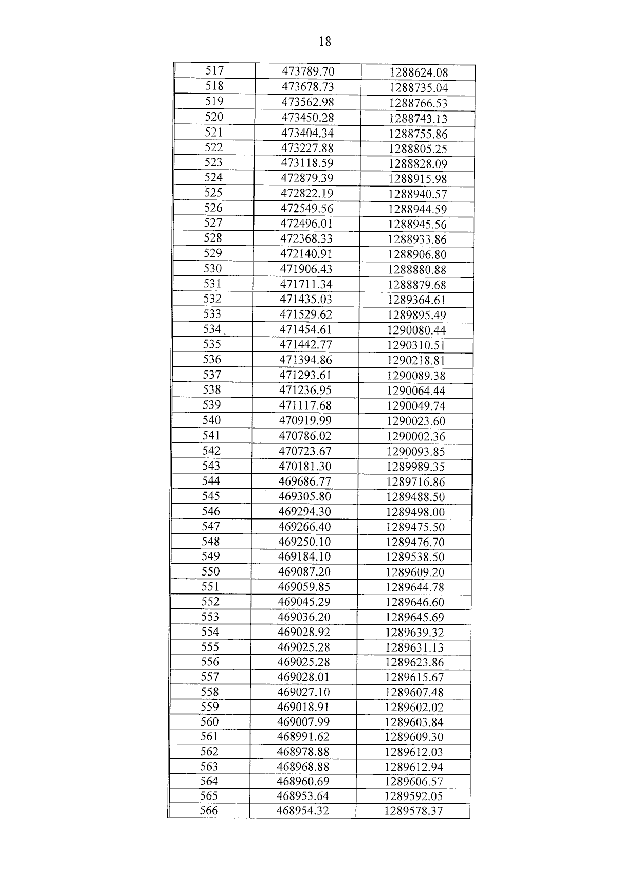
Закон Калужской области от 27.02.2025 № 611-ОЗ
"О преобразовании всех поселений, входящих в состав муниципального района "Дзержинский район", путем объединения и создании вновь образованного муниципального образования с наделением его статусом муниципального округа и о внесении изменений в отдельные законы Калужской области"
Номер опубликования: 4000202503030009
Дата опубликования: 03.03.2025
Страница №25 из 66:
Увеличить