Официальное опубликование правовых актов
ОФИЦИАЛЬНОЕ ОПУБЛИКОВАНИЕ
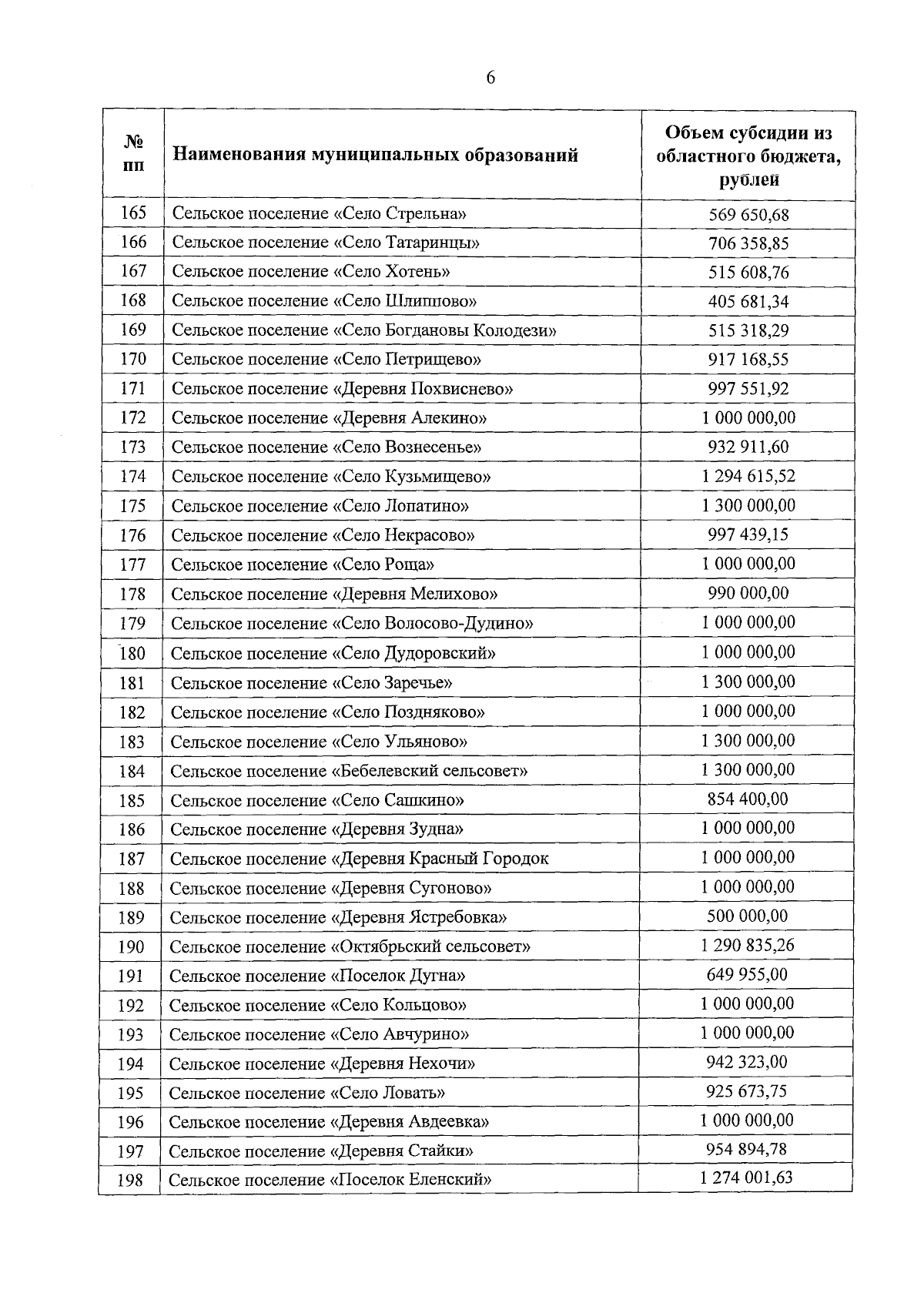
Постановление Правительства Калужской области от 04.04.2024 № 228
"Об утверждении распределения субсидий между муниципальными образованиями Калужской области на реализацию инициативных проектов на 2024 год"
Номер опубликования: 4000202404080002
Дата опубликования: 08.04.2024
Страница №7 из 8:
Увеличить