Официальное опубликование правовых актов
ОФИЦИАЛЬНОЕ ОПУБЛИКОВАНИЕ
Постановление Правительства Калужской области от 20.02.2024 № 110
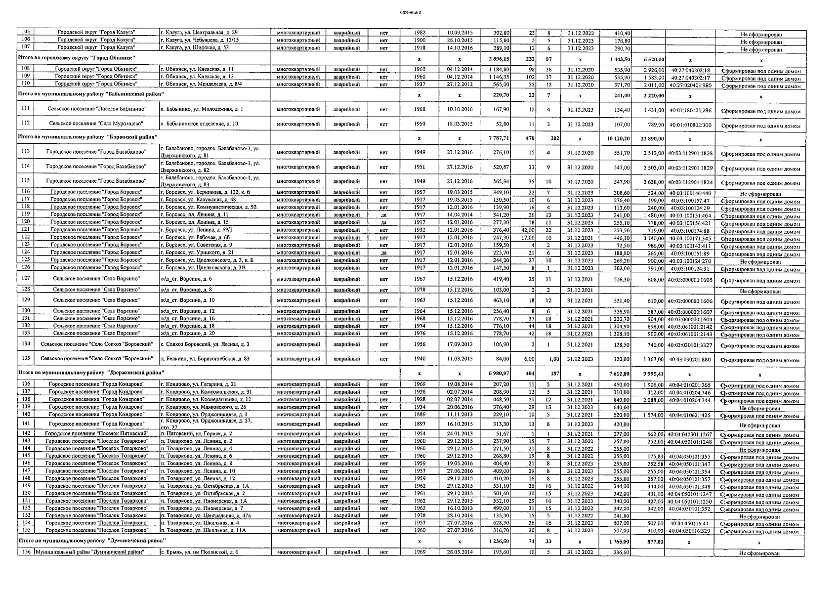
"Об информации по итогам выполнения региональной адресной программы по переселению граждан из аварийного жилищного фонда на территории муниципальных образований Калужской области на 2019 - 2025 годы"
Номер опубликования: 4000202402220003
Дата опубликования: 22.02.2024
Страница №8 из 17:
Увеличить