Официальное опубликование правовых актов
ОФИЦИАЛЬНОЕ ОПУБЛИКОВАНИЕ
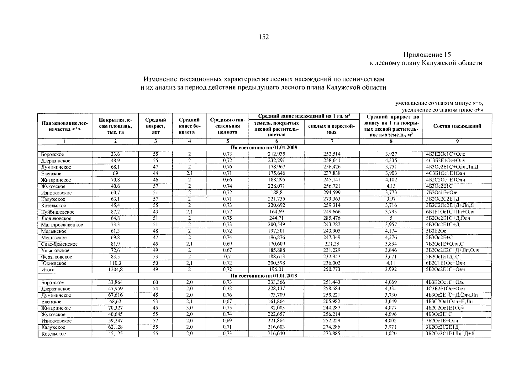
Постановление Губернатора Калужской области от 30.01.2024 № 52
"О внесении изменения в постановление Губернатора Калужской области от 29.12.2018 № 588 "Об утверждении лесного плана Калужской области на 2019 - 2028 годы"
Номер опубликования: 4000202402020007
Дата опубликования: 02.02.2024
Страница №153 из 198:
Увеличить