Официальное опубликование правовых актов
ОФИЦИАЛЬНОЕ ОПУБЛИКОВАНИЕ
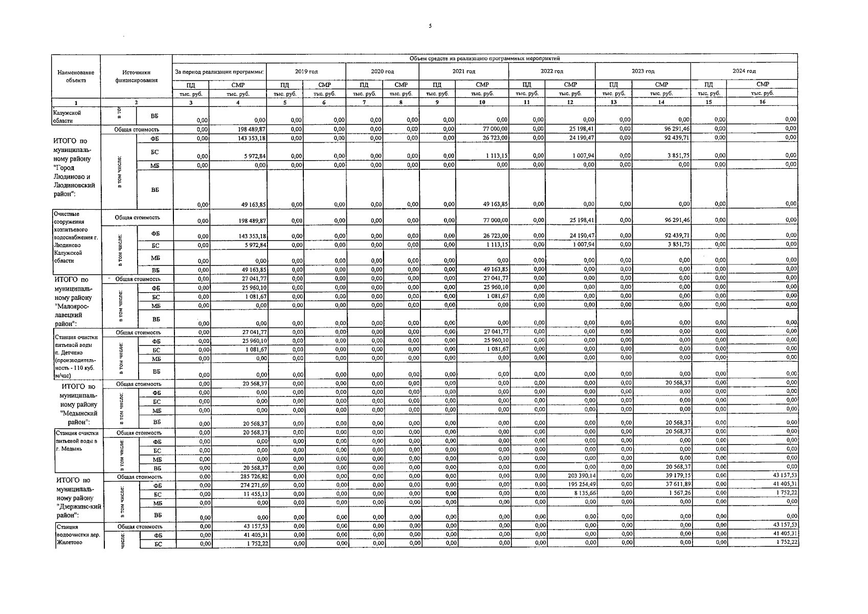
Постановление Правительства Калужской области от 11.12.2023 № 831
"О внесении изменений в постановление Правительства Калужской области от 31.07.2019 № 480 "Об утверждении региональной программы по повышению качества водоснабжения в Калужской области на 2019 - 2024 годы" (в ред. постановлений Правительства Калужской области от 30.09.2019 № 613, от 27.05.2020 № 408, от 31.08.2020 № 672, от 30.12.2022 № 1031)"
Номер опубликования: 4000202312130003
Дата опубликования: 13.12.2023
Страница №24 из 45:
Увеличить