Официальное опубликование правовых актов
ОФИЦИАЛЬНОЕ ОПУБЛИКОВАНИЕ
Постановление Губернатора Калужской области от 21.08.2023 № 412
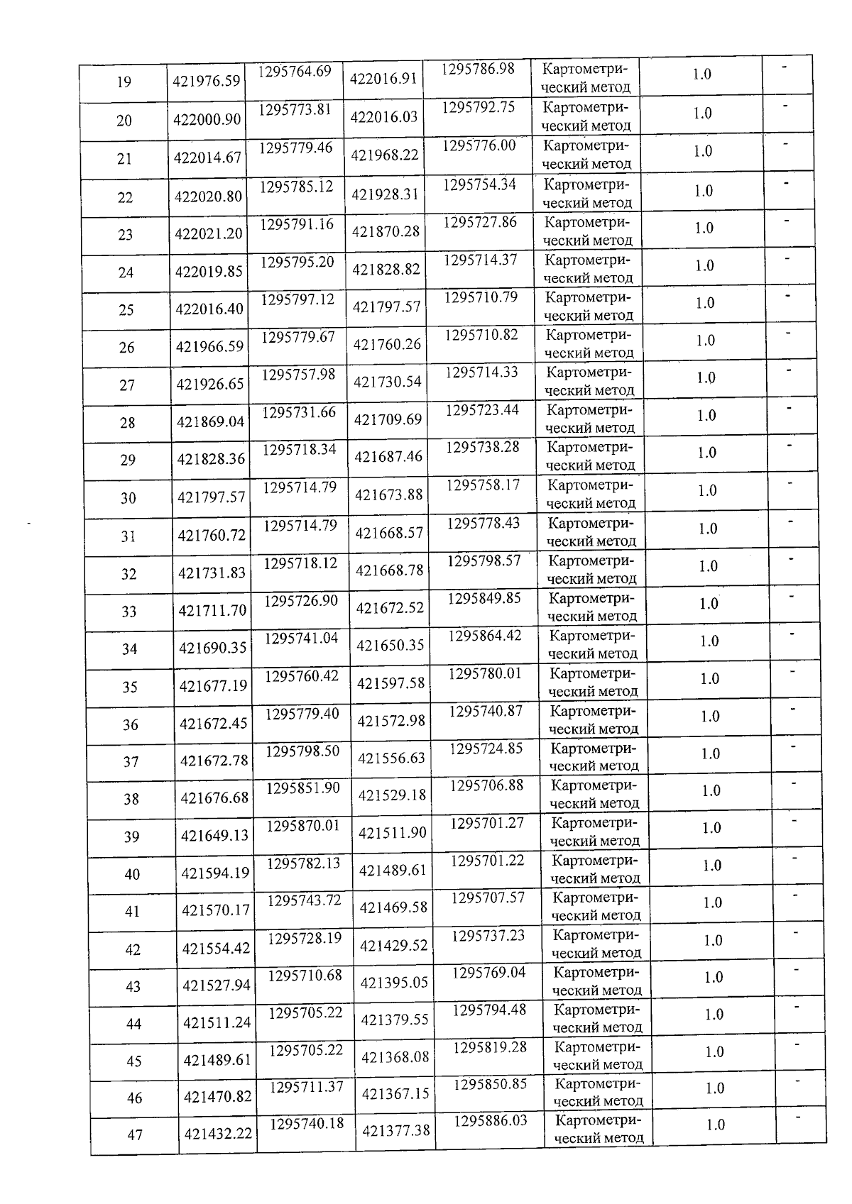
"Об установлении охранной зоны особо охраняемой природной территории регионального значения – памятника природы "Пруд Вырка"
Номер опубликования: 4000202308220002
Дата опубликования: 22.08.2023
Страница №4 из 10:
Увеличить