Официальное опубликование правовых актов
ОФИЦИАЛЬНОЕ ОПУБЛИКОВАНИЕ
Постановление Правительства Калужской области от 14.06.2022 № 435
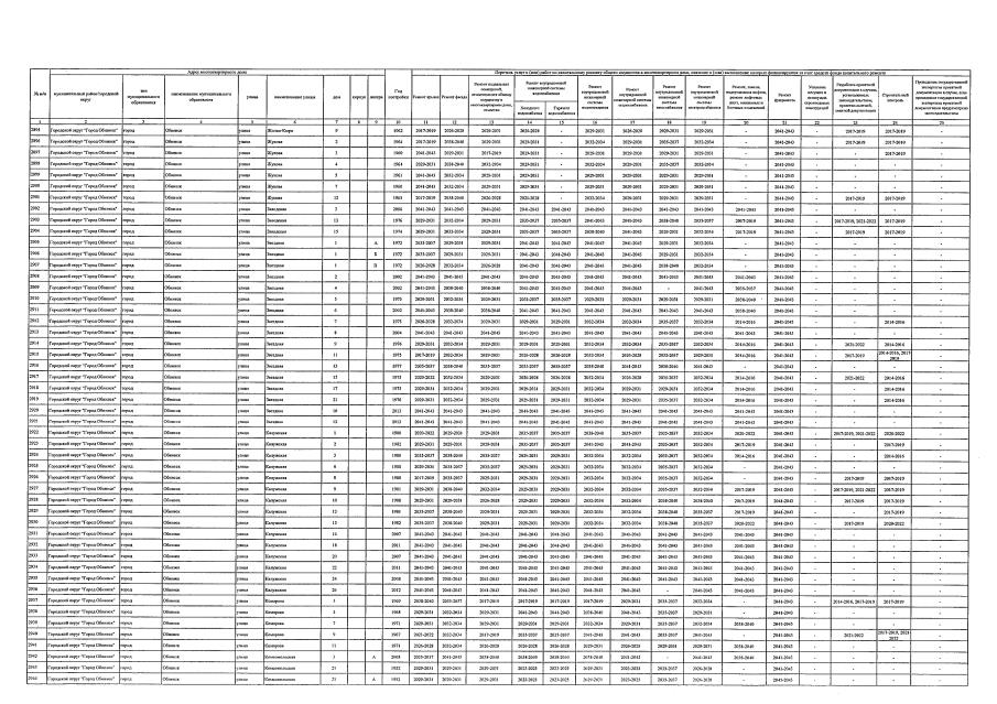
"О внесении изменения в постановление Правительства Калужской области от 30.12.2013 № 753 "Об утверждении региональной программы капитального ремонта общего имущества в многоквартирных домах, расположенных на территории Калужской области, на 2014 - 2043 годы" (в ред. постановлений Правительства Калужской области от 03.06.2014 № 335, от 07.11.2014 № 655, от 22.04.2015 № 214, от 22.05.2015 № 272, от 26.06.2015 № 347, от 05.08.2015 № 437, от 16.11.2015 № 639, от 20.04.2016 № 258, от 28.12.2016 № 699, от 14.04.2017 № 212, от 10.11.2017 № 656, от 02.04.2018 № 192, от 19.07.2018 № 430, от 18.07.2019 № 454, от 10.01.2020 № 10, от 07.02.2020 № 78, от 31.08.2020 № 674, от 14.01.2021 № 16, от 09.04.2021 № 212, от 08.06.2021 № 361, от 24.08.2021 № 552, от 22.09.2021 № 629, от 09.12.2021 № 858, от 09.02.2022 № 86, от 31.03.2022 № 230)"
Номер опубликования: 4000202206200006
Дата опубликования: 20.06.2022
Страница №61 из 159:
Увеличить