Официальное опубликование правовых актов
ОФИЦИАЛЬНОЕ ОПУБЛИКОВАНИЕ
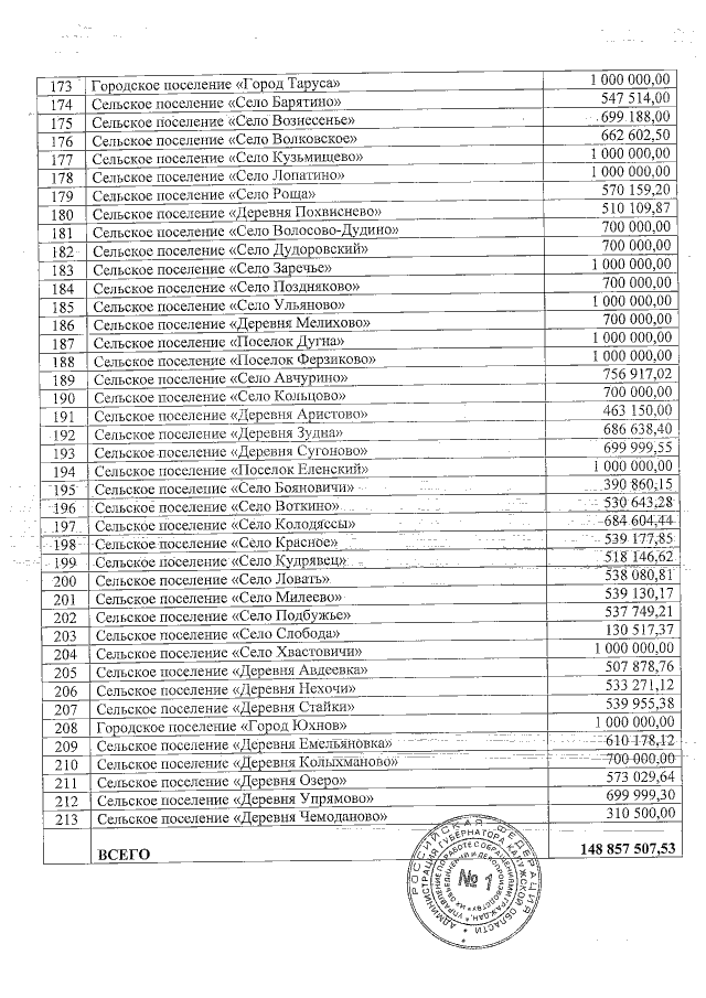
Постановление Правительства Калужской области от 12.04.2021 № 216
"Об утверждении распределения субсидий между муниципальными образованиями Калужской области на реализацию инициативных проектов на 2021 год"
Номер опубликования: 4000202104130013
Дата опубликования: 13.04.2021
Страница №6 из 6:
Увеличить