Официальное опубликование правовых актов
ОФИЦИАЛЬНОЕ ОПУБЛИКОВАНИЕ
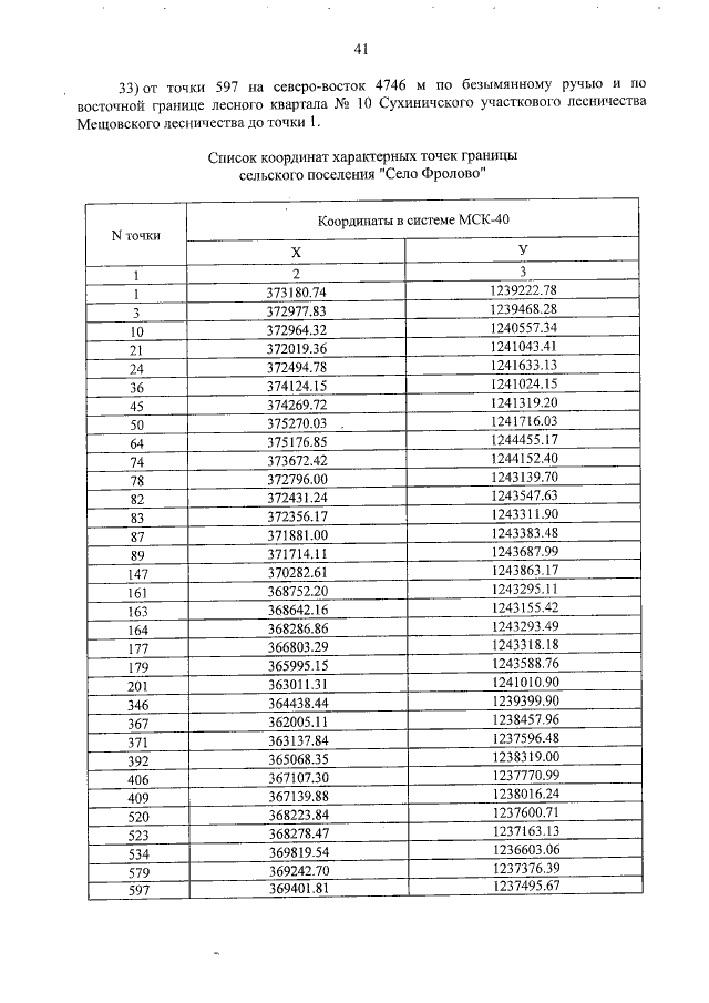
Закон Калужской области от 03.06.2016 № 89-ОЗ
"О внесении изменений в Закон Калужской области "Об установлении границ муниципальных образований, расположенных на территории административно-территориальных единиц "Думиничский район", "Кировский район", "Медынский район", "Перемышльский район", "Сухиничский район", "Тарусский район", "Юхновский район", и наделении их статусом городского поселения, сельского поселения, муниципального района"
Номер опубликования: 4000201606080016
Дата опубликования: 08.06.2016
Страница №42 из 64:
Увеличить