Официальное опубликование правовых актов
ОФИЦИАЛЬНОЕ ОПУБЛИКОВАНИЕ
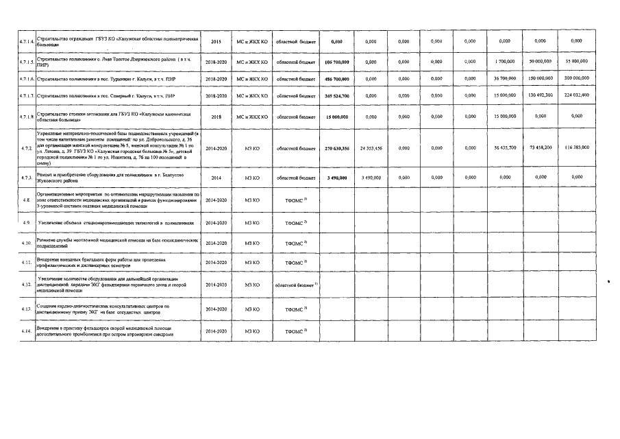
Постановление Правительства Калужской области от 15.09.2015 № 523
"О внесении изменений в постановление Правительства Калужской области от 31.12.2013 № 758 "Об утверждении государственной программы Калужской области "Развитие здравоохранения в Калужской области" (в ред. постановлений Правительства Калужской области от 30.10.2014 № 638,от 25.12.2014 № 780)"
Номер опубликования: 4000201509170001
Дата опубликования: 17.09.2015
Страница №18 из 33:
Увеличить