Официальное опубликование правовых актов
ОФИЦИАЛЬНОЕ ОПУБЛИКОВАНИЕ
Приказ Министерства градостроительной политики Калининградской области от 17.11.2025 № 432
"Об утверждении проекта планировки территории с проектом межевания в его составе, предусматривающего размещение линейного объекта местного значения "Строительство ул. Благовещенская в г. Калининграде"
(Зарегистрирован 17.11.2025 № ГР/816/2025)
Номер опубликования: 3901202511190008
Дата опубликования: 19.11.2025
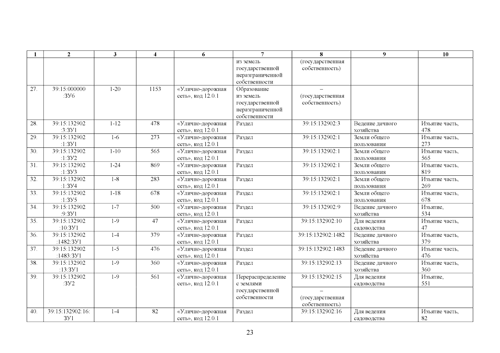
Страница №25 из 87:
Увеличить