Официальное опубликование правовых актов
ОФИЦИАЛЬНОЕ ОПУБЛИКОВАНИЕ
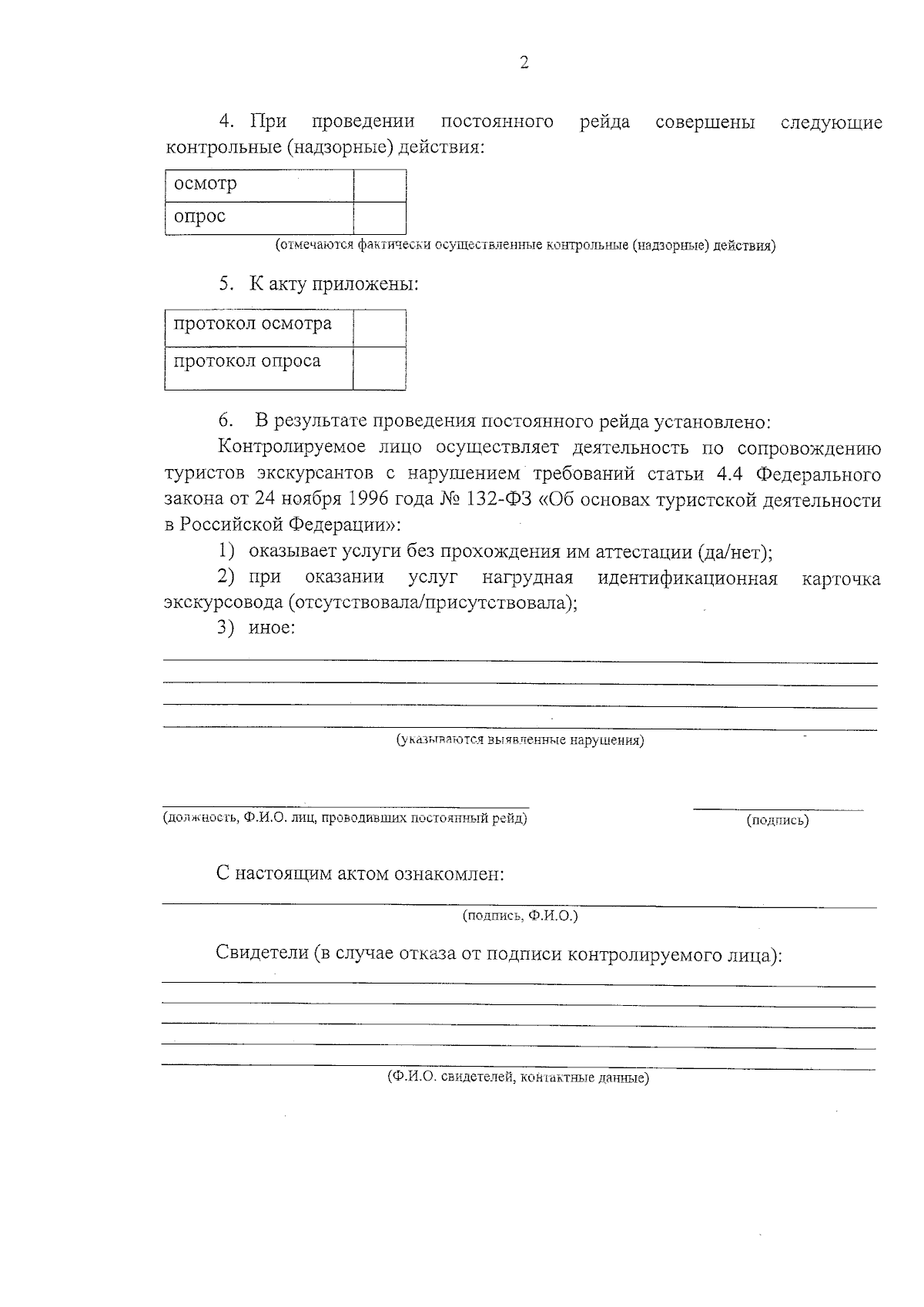
Приказ Министерства регионального контроля (надзора) Калининградской области от 21.04.2025 № 42
"О внесении изменений в приказ Министерства регионального контроля (надзора) Калининградской области от 25 февраля 2022 года № 31 "Об утверждении форм документов, используемых Министерством регионального контроля (надзора) Калининградской области при осуществлении государственного контроля (надзора)"
(Зарегистрирован 24.04.2025 № ГР/320/2025)
Номер опубликования: 3901202504240001
Дата опубликования: 24.04.2025
Страница №6 из 8:
Увеличить