Официальное опубликование правовых актов
ОФИЦИАЛЬНОЕ ОПУБЛИКОВАНИЕ
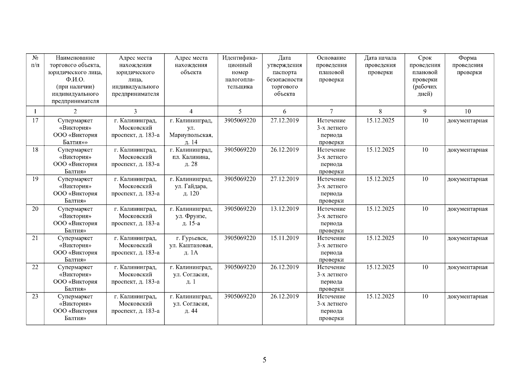
Приказ Министерства экономического развития, промышленности и торговли Калининградской области от 22.04.2025 № 86
"О внесении изменения в план проведения проверок юридических лиц и индивидуальных предпринимателей по обеспечению антитеррористической защищенности торговых объектов (территорий) и соблюдению требований к антитеррористической защищенности торговых объектов (территорий) на 2025 год"
(Зарегистрирован 23.04.2025 № ГР/314/2025)
Номер опубликования: 3901202504230007
Дата опубликования: 23.04.2025
Страница №6 из 7:
Увеличить