Официальное опубликование правовых актов
ОФИЦИАЛЬНОЕ ОПУБЛИКОВАНИЕ
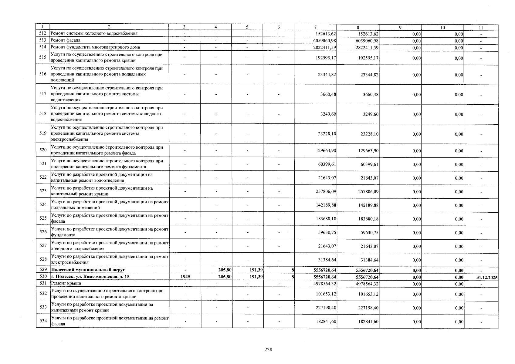
Приказ Министерства строительства и жилищно-коммунального хозяйства Калининградской области от 04.04.2025 № 23
"О внесении изменений в краткосрочный план реализации на 2024 – 2026 годы региональной программы капитального ремонта общего имущества в многоквартирных домах, расположенных на территории Калининградской области"
(Зарегистрирован 07.04.2025 № ГР/243/2025)
Номер опубликования: 3901202504080001
Дата опубликования: 08.04.2025
Страница №240 из 269:
Увеличить