Официальное опубликование правовых актов
ОФИЦИАЛЬНОЕ ОПУБЛИКОВАНИЕ
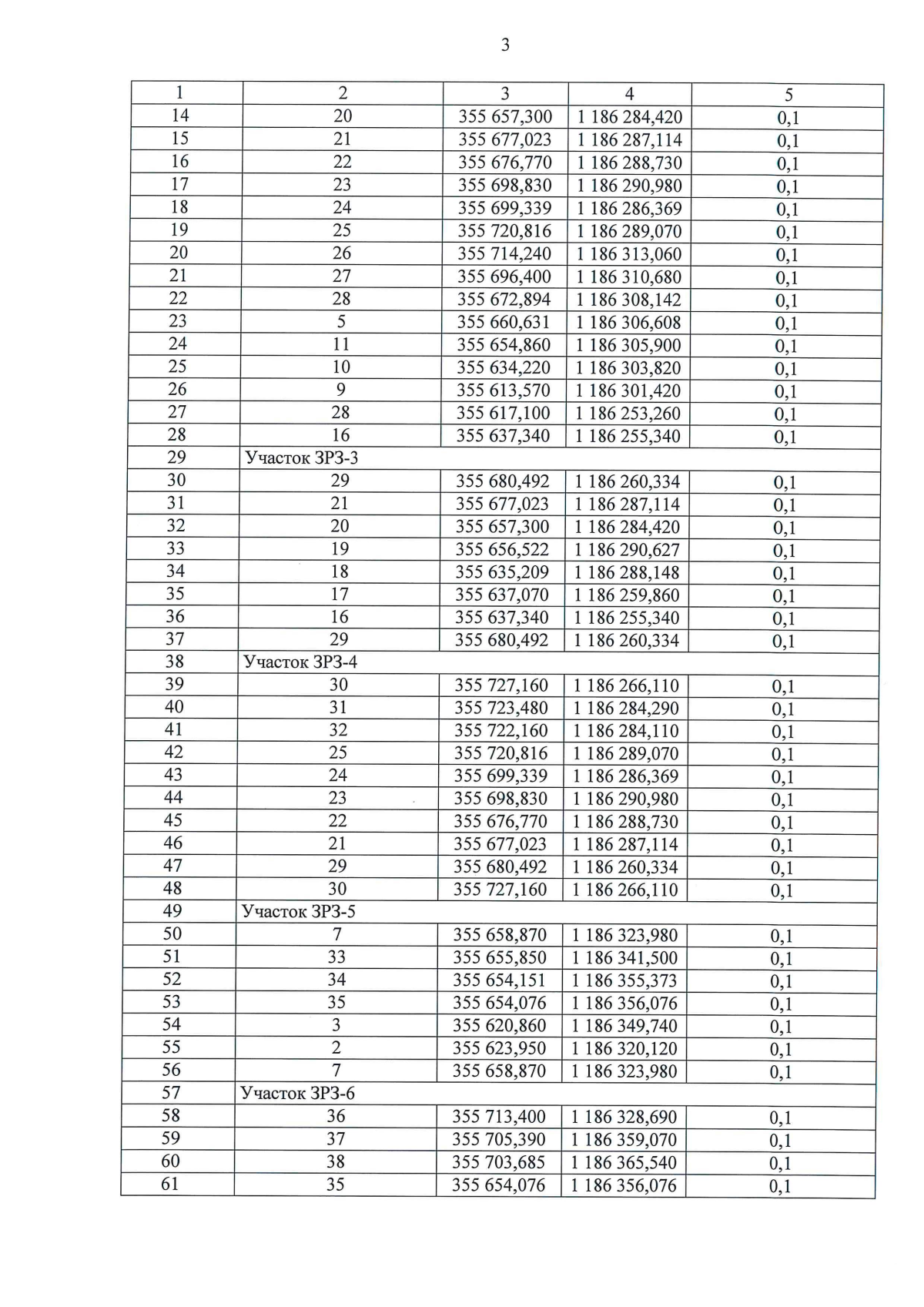
Приказ Службы государственной охраны объектов культурного наследия Калининградской области от 05.12.2023 № 510
"Об установлении зон охраны объекта культурного наследия регионального значения "Дом жилой", начало XX века, Калининградская область, город Калининград, улица Энгельса, 36, утверждении требований к градостроительным регламентам в границах территорий данных зон и внесении изменений в постановление Правительства Калининградской области от 06 июня 2013 года № 386 "Об утверждении границ территорий и зон охраны объектов культурного наследия регионального значения, находящихся на территории Калининградской области, режимов использования земель и градостроительных регламентов в границах данных зон"
(Зарегистрирован 06.12.2023 № ГР/1104/2023)
Номер опубликования: 3901202312070001
Дата опубликования: 07.12.2023
Страница №5 из 12:
Увеличить