Официальное опубликование правовых актов
ОФИЦИАЛЬНОЕ ОПУБЛИКОВАНИЕ
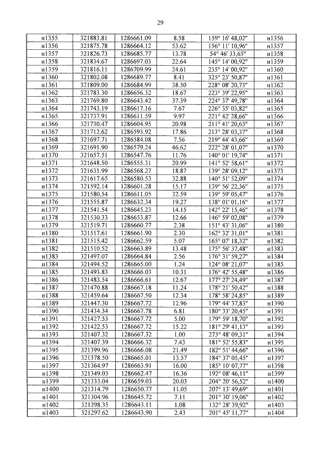
Приказ Министерства строительства и жилищно-коммунального хозяйства Калининградской области от 26.10.2017 № 298
"Об утверждении границ охранных зон объектов газораспределительных сетей и наложении ограничений (обременений) на входящие в них земельные участки"
Номер опубликования: 3901201710300002
Дата опубликования: 30.10.2017
Страница №31 из 52:
Увеличить