Официальное опубликование правовых актов
ОФИЦИАЛЬНОЕ ОПУБЛИКОВАНИЕ
Постановление Правительства Калининградской области от 20.05.2025 № 185-п
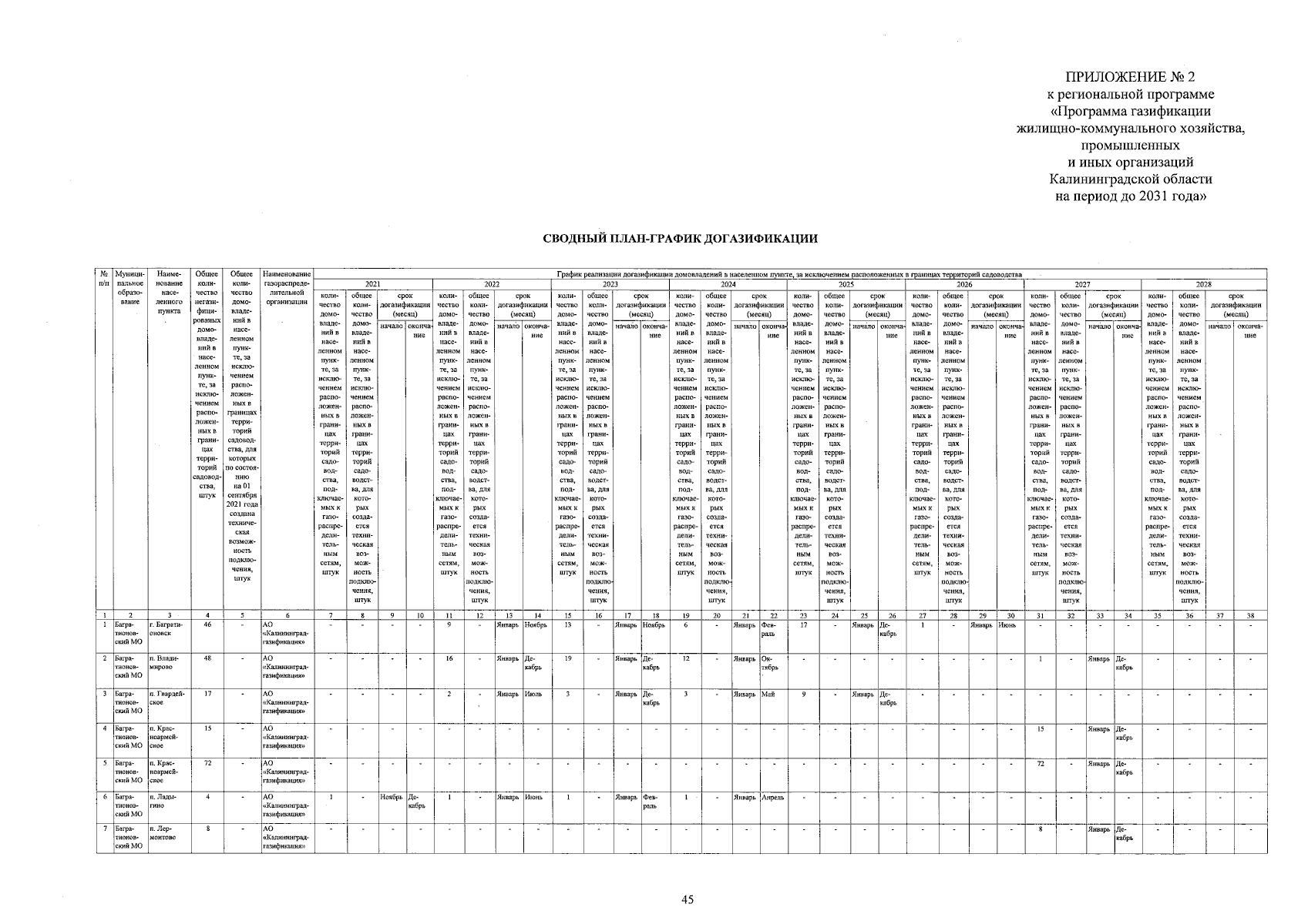
"О внесении изменения в постановление Правительства Калининградской области от 18 марта 2022 года № 135 "Об утверждении региональной программы "Программа газификации жилищно-коммунального хозяйства, промышленных и иных организаций Калининградской области на период до 2031 года"
Номер опубликования: 3900202505220002
Дата опубликования: 22.05.2025
Страница №46 из 528:
Увеличить