Официальное опубликование правовых актов
ОФИЦИАЛЬНОЕ ОПУБЛИКОВАНИЕ
Указ Губернатора Калининградской области от 28.12.2017 № 140
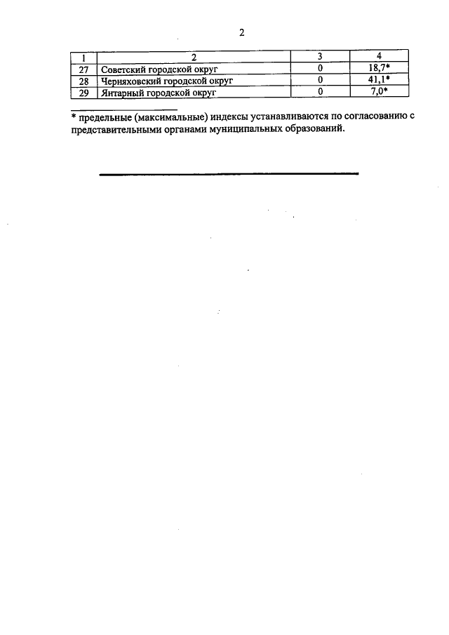
"О предельных (максимальных) индексах изменения размера вносимой гражданами платы за коммунальные услуги в муниципальных образованиях Калининградской области на 2018 год"
Номер опубликования: 3900201712290005
Дата опубликования: 29.12.2017
Страница №3 из 17:
Увеличить