Официальное опубликование правовых актов
ОФИЦИАЛЬНОЕ ОПУБЛИКОВАНИЕ
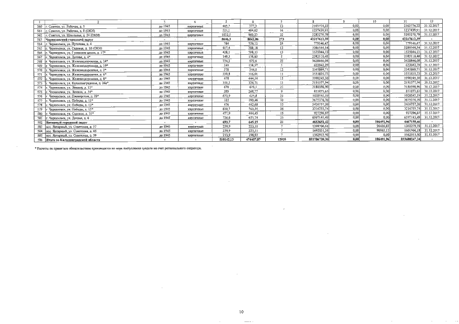
Постановление Правительства Калининградской области от 19.12.2017 № 686
"О внесении изменений в краткосрочный план реализации на 2017-2019 годы региональной программы капитального ремонта общего имущества в многоквартирных домах, расположенных на территории Калининградской области, на 2015-2044 годы и признании утратившим силу отдельного решения Правительства Калининградской области"
Номер опубликования: 3900201712220013
Дата опубликования: 22.12.2017
Страница №12 из 40:
Увеличить