Официальное опубликование правовых актов
ОФИЦИАЛЬНОЕ ОПУБЛИКОВАНИЕ
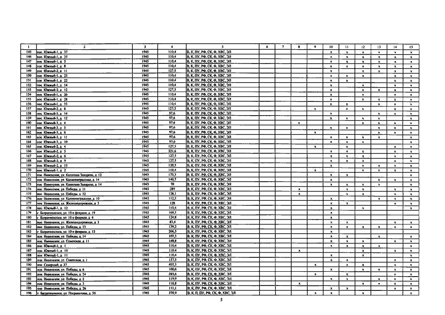
Постановление Правительства Калининградской области от 18.12.2017 № 675
"О внесении изменений в постановление Правительства Калининградской области от 09 декабря 2014 года № 826 и признании утратившим силу отдельного решения Правительства Калининградской области"
Номер опубликования: 3900201712210009
Дата опубликования: 21.12.2017
Страница №6 из 316:
Увеличить