Официальное опубликование правовых актов
ОФИЦИАЛЬНОЕ ОПУБЛИКОВАНИЕ
Постановление Правительства Калининградской области от 22.11.2017 № 608
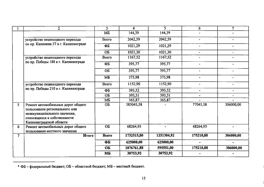
"О внесении изменения в перечень мероприятий и объектов капитальных вложений государственной (муниципальной) собственности с указанием объемов финансирования за счет ассигнований, предусмотренных в 2017 году по подразделу "Дорожное хозяйство (дорожные фонды)" раздела "Национальная экономика" Законом Калининградской области "Об областном бюджете на 2017 год и на плановый период 2018 и 2019 годов"
Номер опубликования: 3900201711290002
Дата опубликования: 29.11.2017
Страница №17 из 18:
Увеличить