Официальное опубликование правовых актов
ОФИЦИАЛЬНОЕ ОПУБЛИКОВАНИЕ
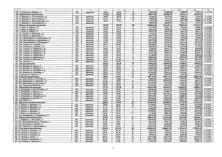
Постановление Правительства Калининградской области от 07.12.2016 № 573
"О внесении изменения в постановление Правительства Калининградской области от 26 октября 2015 года № 593 и признании утратившим силу постановления Правительства Калининградской области от 23 июня 2016 года № 320"
Номер опубликования: 3900201612120007
Дата опубликования: 12.12.2016
Страница №8 из 21:
Увеличить