Официальное опубликование правовых актов
ОФИЦИАЛЬНОЕ ОПУБЛИКОВАНИЕ
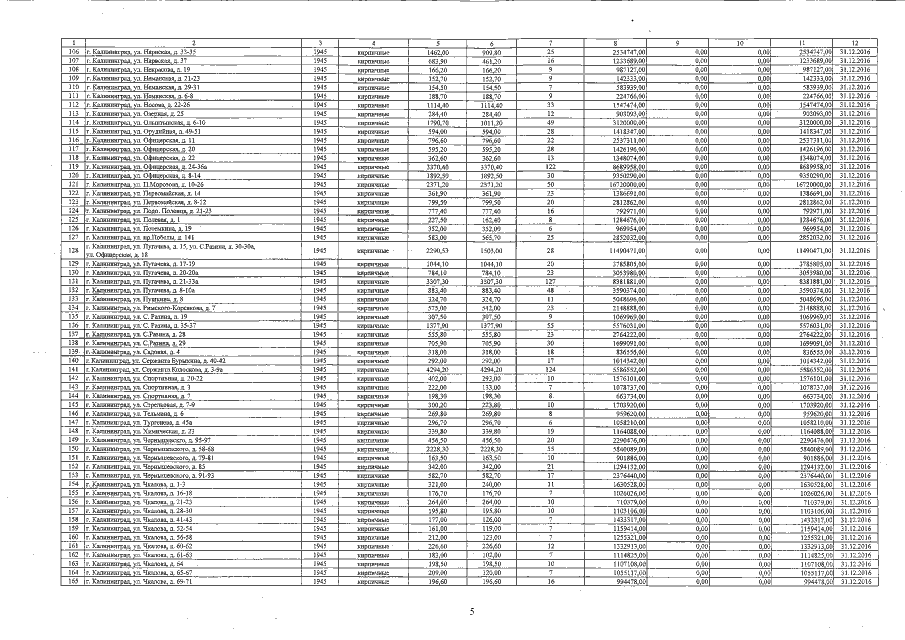
Постановление Правительства Калининградской области от 23.06.2016 № 320
"О внесении изменения в постановление Правительства Калининградской области от 26 октября 2015 года № 593"
Номер опубликования: 3900201606290002
Дата опубликования: 29.06.2016
Страница №6 из 23:
Увеличить