Официальное опубликование правовых актов
ОФИЦИАЛЬНОЕ ОПУБЛИКОВАНИЕ
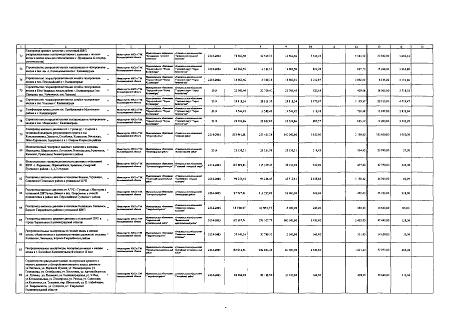
Постановление Правительства Калининградской области от 27.11.2014 № 793
"О внесении изменений в целевую программу Калининградской области "Областная инвестиционная программа на 2009-2014 годы"
Номер опубликования: 3900201412030001
Дата опубликования: 03.12.2014
Страница №18 из 26:
Увеличить