Приказ Министерства природных ресурсов и экологии Иркутской области от 20.02.2026 № 66-5-мпр
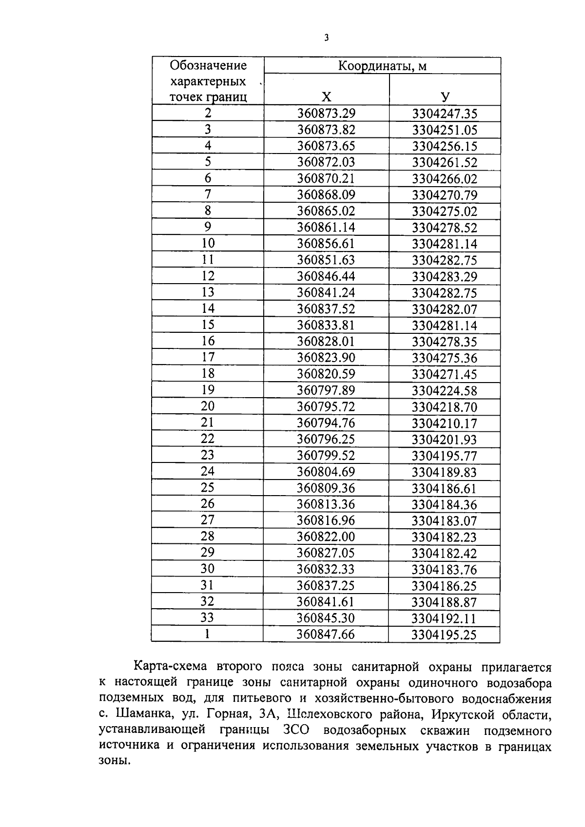
"Об установлении зоны санитарной охраны одиночного водозабора подземных вод, для питьевого и хозяйственно-бытового водоснабжения с. Шаманка, ул. Горная, 3А, Шелеховского района, Иркутской области, устанавливающей границы ЗСО водозаборных скважин подземного источника и ограничения использования земельных участков в границах зоны"
(Зарегистрирован 24.02.2026 № 03-0250/26)
"Об установлении зоны санитарной охраны одиночного водозабора подземных вод, для питьевого и хозяйственно-бытового водоснабжения с. Шаманка, ул. Горная, 3А, Шелеховского района, Иркутской области, устанавливающей границы ЗСО водозаборных скважин подземного источника и ограничения использования земельных участков в границах зоны"
(Зарегистрирован 24.02.2026 № 03-0250/26)
Номер опубликования: 3801202602240012
Дата опубликования:
24.02.2026
