Официальное опубликование правовых актов
ОФИЦИАЛЬНОЕ ОПУБЛИКОВАНИЕ
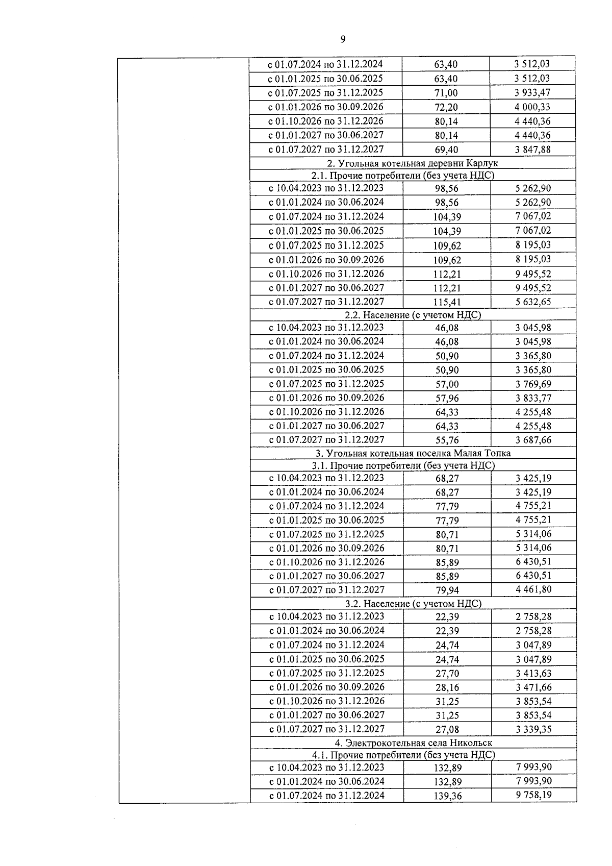
Приказ службы по тарифам Иркутской области от 19.12.2025 № 79-616-спр
"О внесении изменений в отдельные приказы службы по тарифам Иркутской области"
(Зарегистрирован 30.12.2025 № 04-2603/25)
Номер опубликования: 3801202512300035
Дата опубликования: 30.12.2025
Страница №9 из 11:
Увеличить