Официальное опубликование правовых актов
ОФИЦИАЛЬНОЕ ОПУБЛИКОВАНИЕ
Приказ службы по тарифам Иркутской области от 19.12.2025 № 79-546-спр
"О внесении изменений в отдельные приказы службы по тарифам Иркутской области"
(Зарегистрирован 29.12.2025 № 04-2549/25)
Номер опубликования: 3801202512290010
Дата опубликования: 29.12.2025
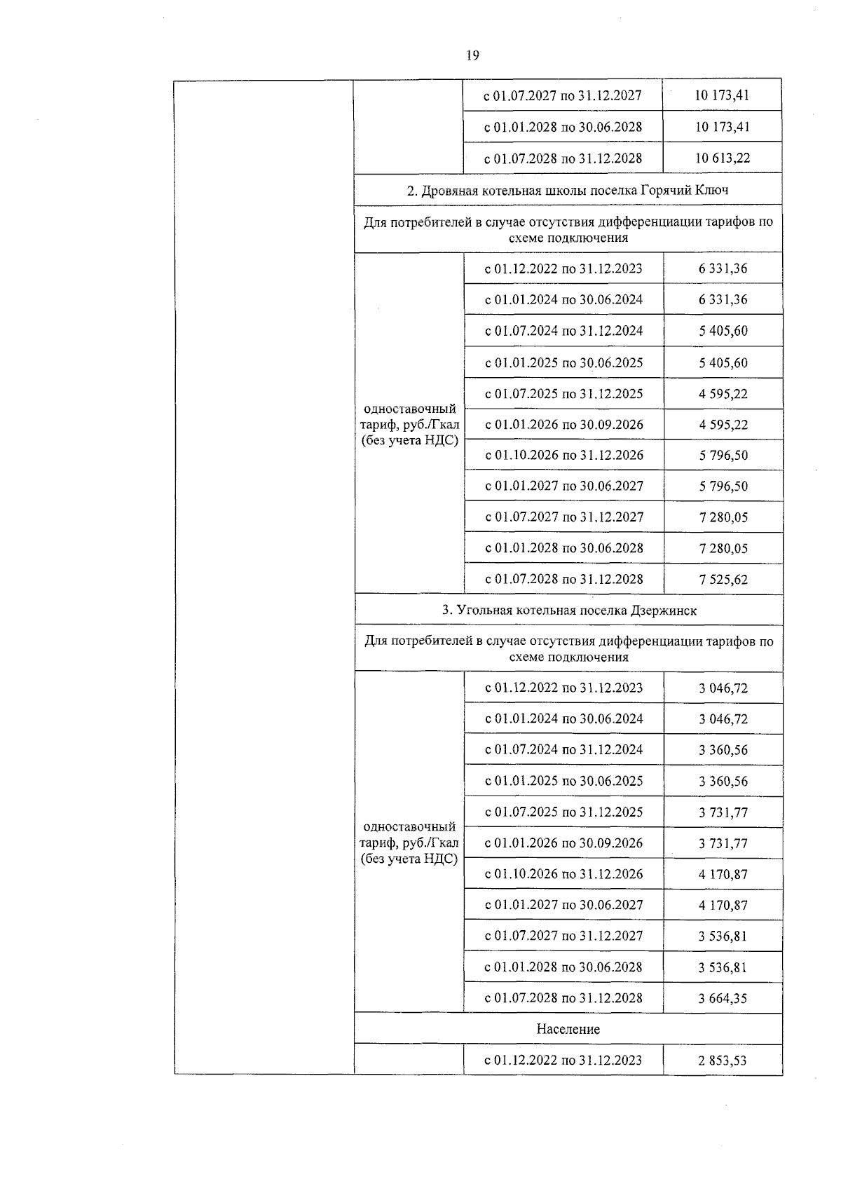
Страница №19 из 136:
Увеличить