Официальное опубликование правовых актов
ОФИЦИАЛЬНОЕ ОПУБЛИКОВАНИЕ
Приказ службы архитектуры Иркутской области от 24.12.2025 № 82-18-спр
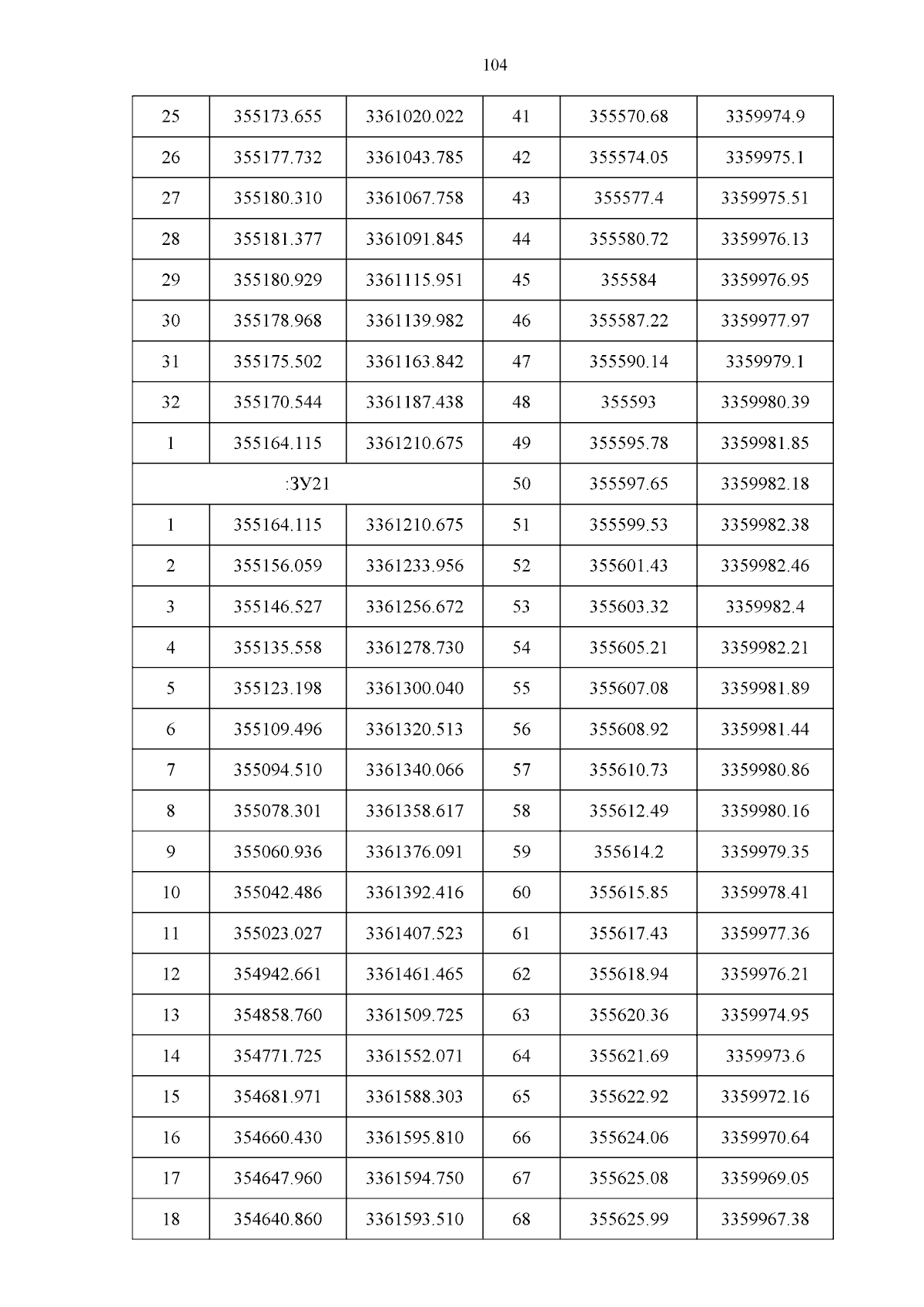
"Об утверждении проекта планировки территории, проекта межевания территории в составе проекта планировки особо охраняемой территории рекреационного назначения регионального значения "Тальцы"
(Зарегистрирован 25.12.2025 № 04-2472/25)
Номер опубликования: 3801202512250009
Дата опубликования: 25.12.2025
Страница №106 из 182:
Увеличить