Официальное опубликование правовых актов
ОФИЦИАЛЬНОЕ ОПУБЛИКОВАНИЕ
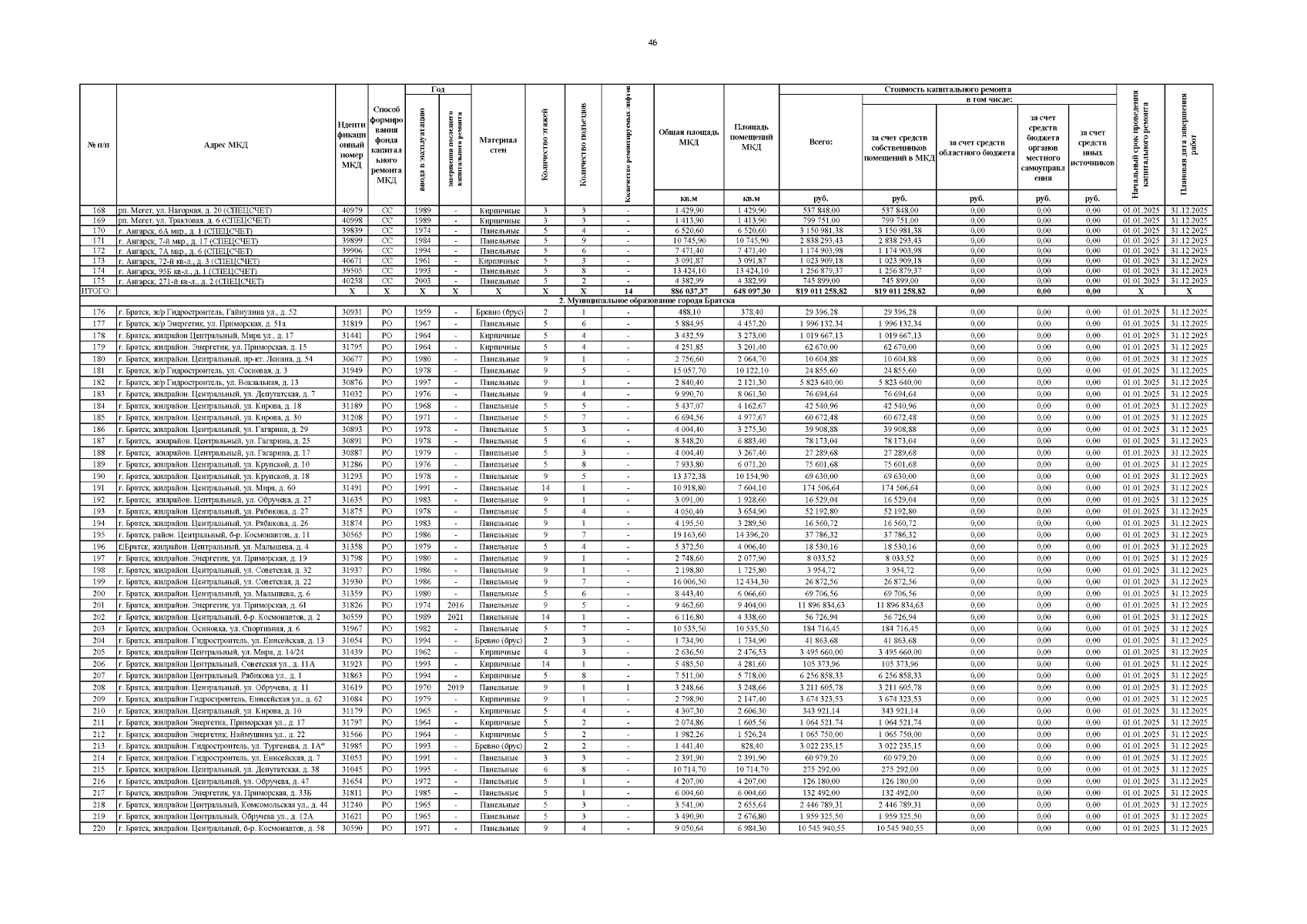
Приказ Министерства жилищной политики и энергетики Иркутской области от 27.11.2025 № 58-41-мпр
"О внесении изменения в краткосрочный план реализации в 2023-2025 годах региональной программы капитального ремонта общего имущества в многоквартирных домах на территории Иркутской области"
(Зарегистрирован 03.12.2025 № 03-2183/23)
Номер опубликования: 3801202512080002
Дата опубликования: 08.12.2025
Страница №47 из 112:
Увеличить