Официальное опубликование правовых актов
ОФИЦИАЛЬНОЕ ОПУБЛИКОВАНИЕ
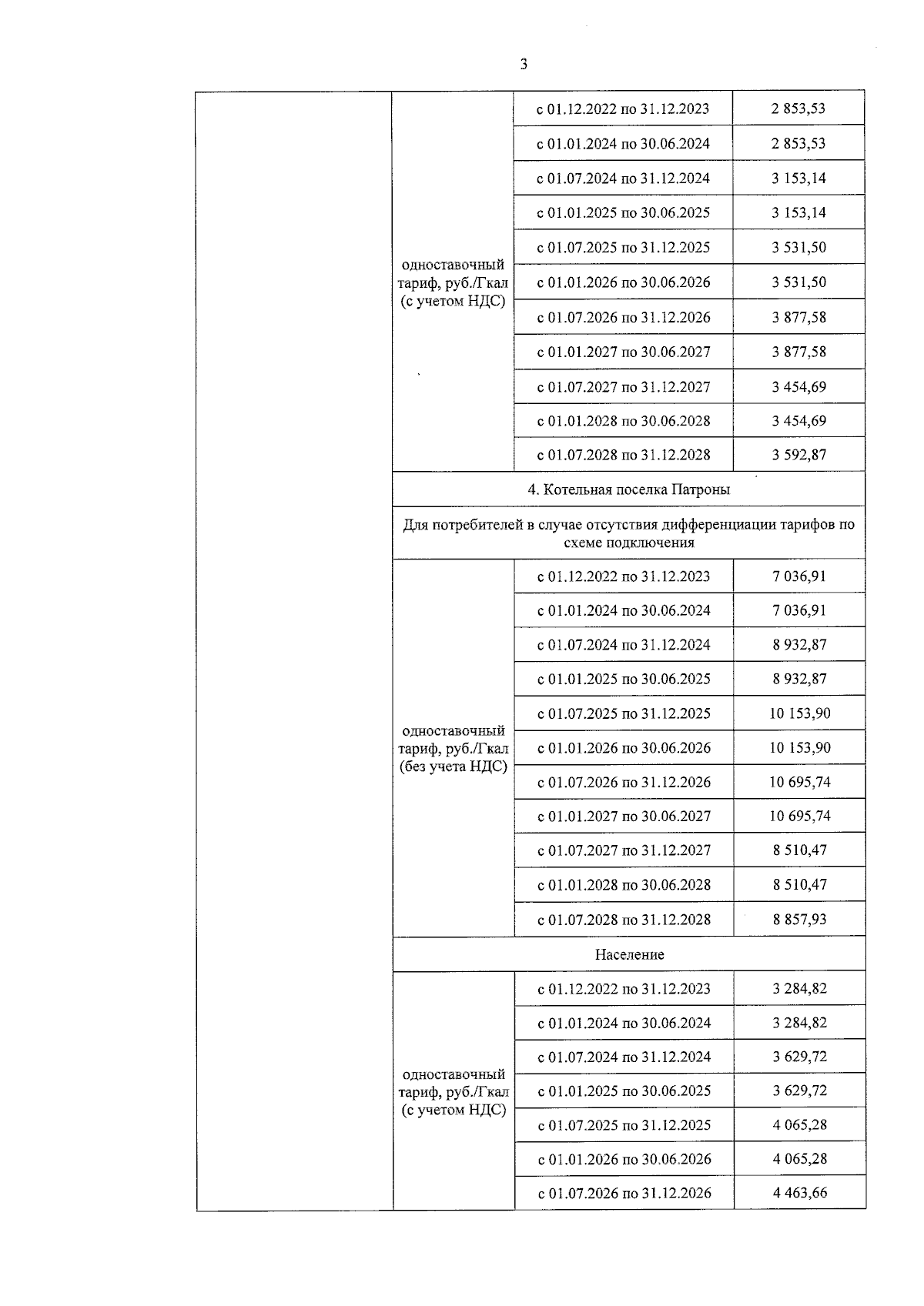
Приказ службы по тарифам Иркутской области от 11.09.2025 № 79-189-спр
"О внесении изменений в отдельные приказы службы по тарифам Иркутской области"
(Зарегистрирован 12.09.2025 № 04-1576/25)
Номер опубликования: 3801202509120018
Дата опубликования: 12.09.2025
Страница №3 из 7:
Увеличить