Официальное опубликование правовых актов
ОФИЦИАЛЬНОЕ ОПУБЛИКОВАНИЕ
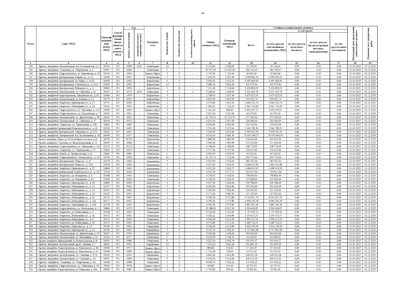
Приказ Министерства жилищной политики и энергетики Иркутской области от 03.09.2025 № 58-36-мпр
"О внесении изменения в краткосрочный план реализации в 2023-2025 годах региональной программы капитального ремонта общего имущества в многоквартирных домах на территории Иркутской области"
(Зарегистрирован 04.09.2025 № 03-1517/25)
Номер опубликования: 3801202509090004
Дата опубликования: 09.09.2025
Страница №45 из 104:
Увеличить