Официальное опубликование правовых актов
ОФИЦИАЛЬНОЕ ОПУБЛИКОВАНИЕ
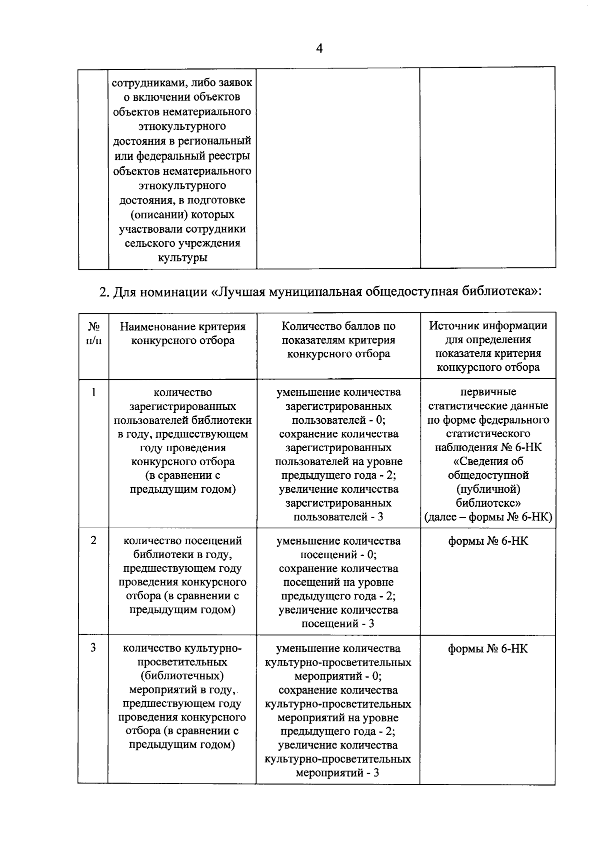
Приказ Министерства культуры Иркутской области от 10.07.2025 № 56-17-мпр
"О внесении изменений в Положение о проведении конкурса "Лучшие сельские учреждения культуры и их работники"
(Зарегистрирован 14.07.2025 № 03-1207/25)
Номер опубликования: 3801202507150031
Дата опубликования: 15.07.2025
Страница №10 из 19:
Увеличить