Официальное опубликование правовых актов
ОФИЦИАЛЬНОЕ ОПУБЛИКОВАНИЕ
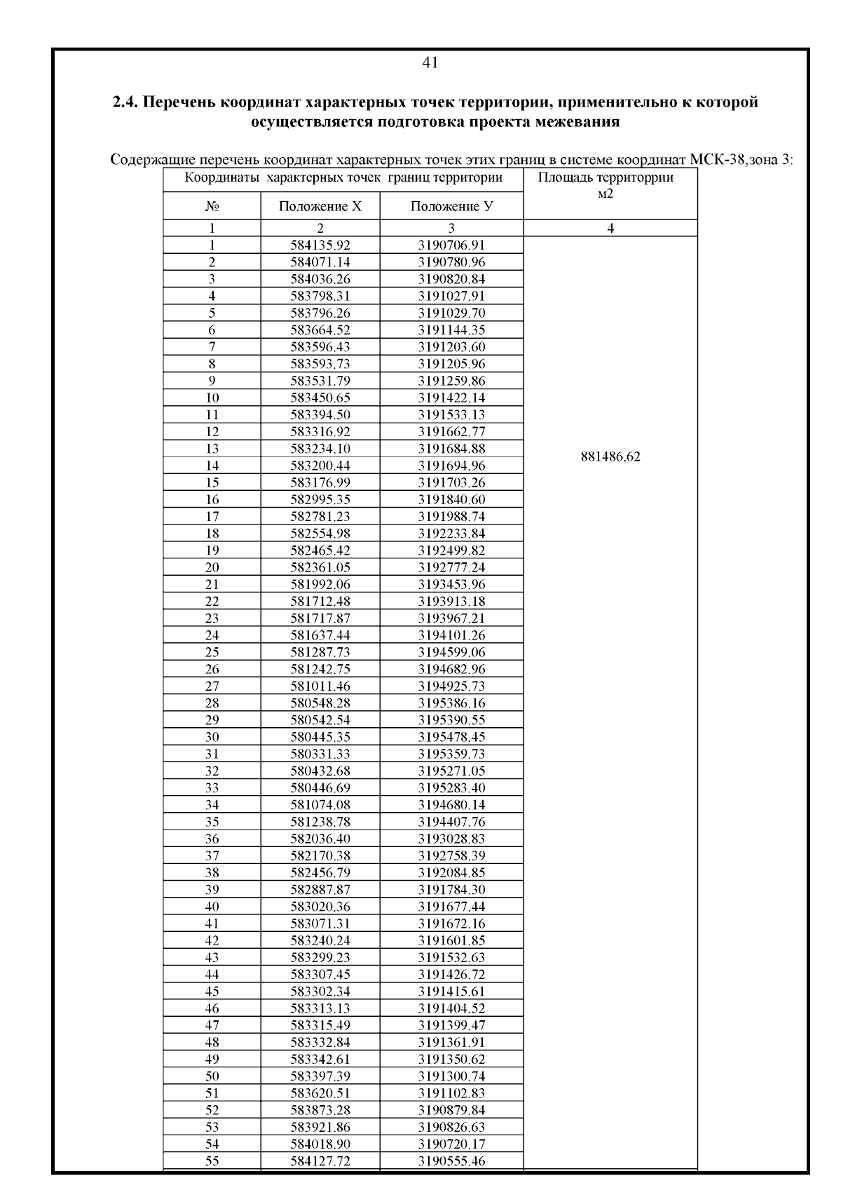
Приказ службы архитектуры Иркутской области от 24.06.2025 № 82-8-спр
"Об утверждении проекта планировки территории и проекта межевания территории (в составе проекта планировки территории), предназначенной для размещения линейного объекта: "Автомобильная дорога Юго-Восточная"
(Зарегистрирован 24.06.2025 № 04-1030/25)
Номер опубликования: 3801202506250002
Дата опубликования: 25.06.2025
Страница №43 из 53:
Увеличить