Официальное опубликование правовых актов
ОФИЦИАЛЬНОЕ ОПУБЛИКОВАНИЕ
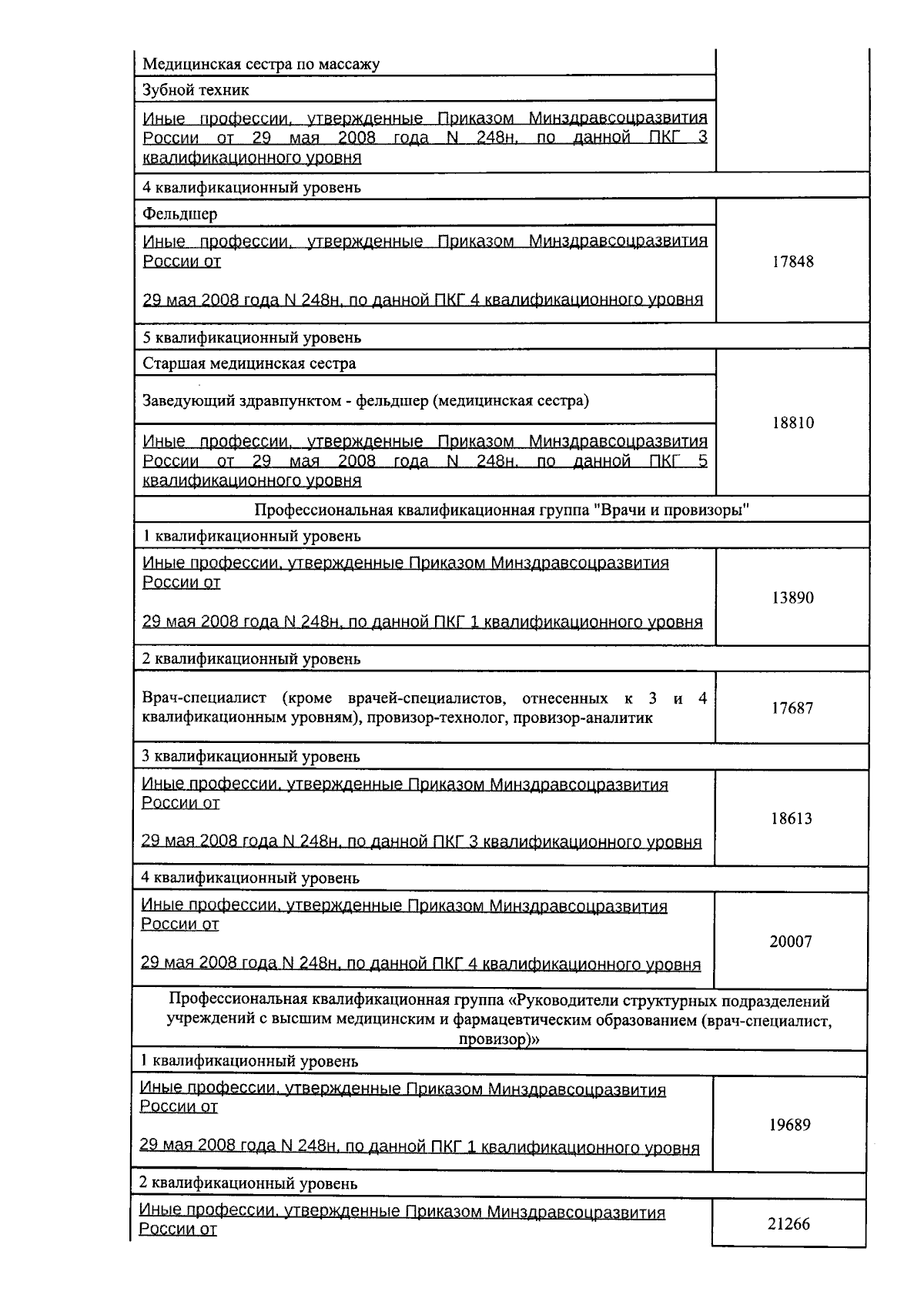
Приказ Министерства культуры Иркутской области от 13.02.2025 № 56-5-мпр
"О повышении (индексации) окладов (должностных окладов) работников государственных учреждений Иркутской области, функции и полномочия учредителя которых осуществляет министерство культуры Иркутской области и внесении изменения в Приложение 1 к Примерному положению об оплате труда работников государственных учреждений Иркутской области, функции и полномочия учредителя которых осуществляет министерство культуры Иркутской области"
(Зарегистрирован 17.02.2025 № 03-0207/25)
Номер опубликования: 3801202502190006
Дата опубликования: 19.02.2025
Страница №18 из 19:
Увеличить