Официальное опубликование правовых актов
ОФИЦИАЛЬНОЕ ОПУБЛИКОВАНИЕ
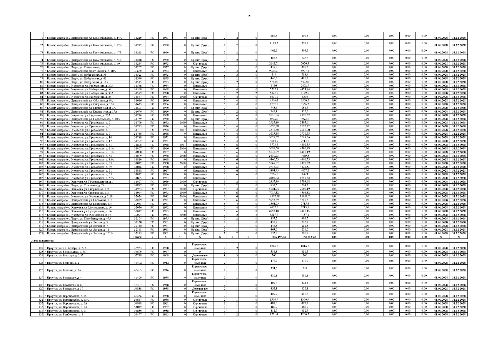
Приказ Министерства жилищной политики и энергетики Иркутской области от 10.02.2025 № 58-4-мпр
"Об утверждении краткосрочного плана реализации в 2026-2028 годах региональной программы капитального ремонта общего имущества в многоквартирных домах на территории Иркутской области"
(Зарегистрирован 11.02.2025 № 03-0159/25)
Номер опубликования: 3801202502110003
Дата опубликования: 11.02.2025
Страница №37 из 80:
Увеличить