Официальное опубликование правовых актов
ОФИЦИАЛЬНОЕ ОПУБЛИКОВАНИЕ
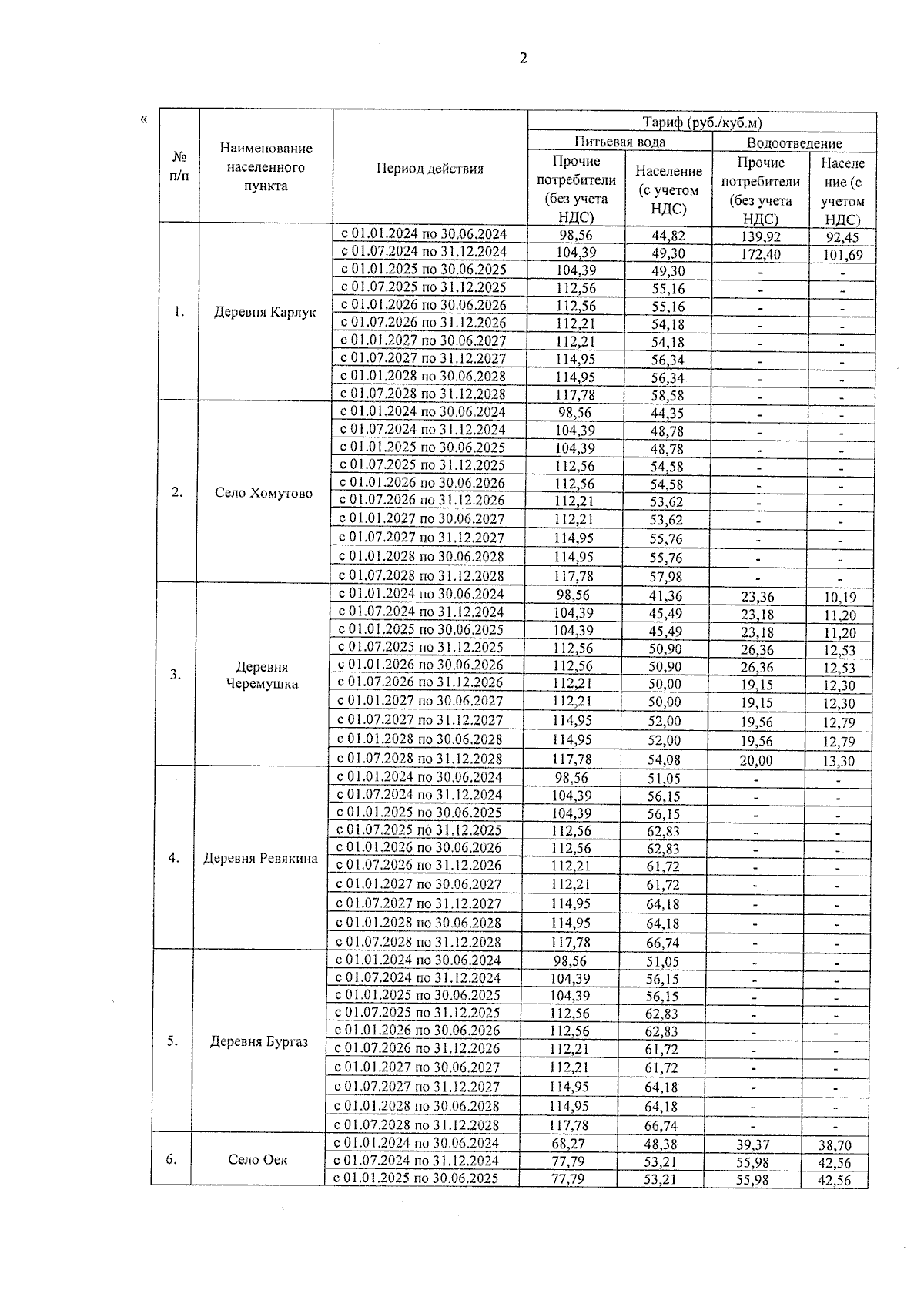
Приказ службы по тарифам Иркутской области от 20.12.2024 № 79-488-спр
"О внесении изменений в приказ службы по тарифам Иркутской области от 4 декабря 2023 года № 79-393-спр"
(Зарегистрирован 10.01.2025 № 04-0012/25)
Номер опубликования: 3801202501140028
Дата опубликования: 14.01.2025
Страница №2 из 6:
Увеличить