Официальное опубликование правовых актов
ОФИЦИАЛЬНОЕ ОПУБЛИКОВАНИЕ
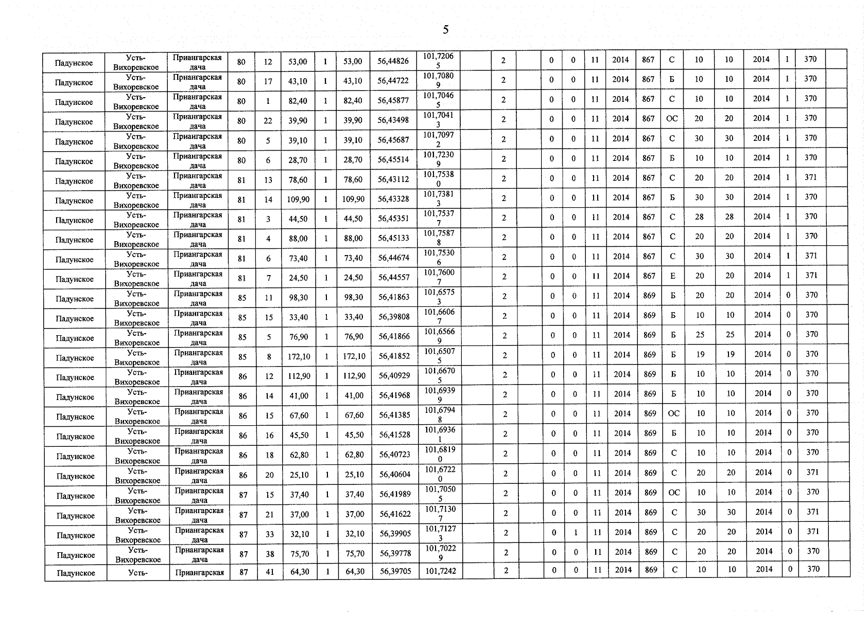
Приказ Министерства лесного комплекса Иркутской области от 09.12.2024 № 91-62-мпр
"О внесении изменений в приложения 2, 3 к лесохозяйственному регламенту по Падунскому лесничеству Иркутской области"
(Зарегистрирован 12.12.2024 № 03-2604/24)
Номер опубликования: 3801202412130001
Дата опубликования: 13.12.2024
Страница №6 из 16:
Увеличить