Официальное опубликование правовых актов
ОФИЦИАЛЬНОЕ ОПУБЛИКОВАНИЕ
Приказ Министерства природных ресурсов и экологии Иркутской области от 25.11.2024 № 66-74-мпр
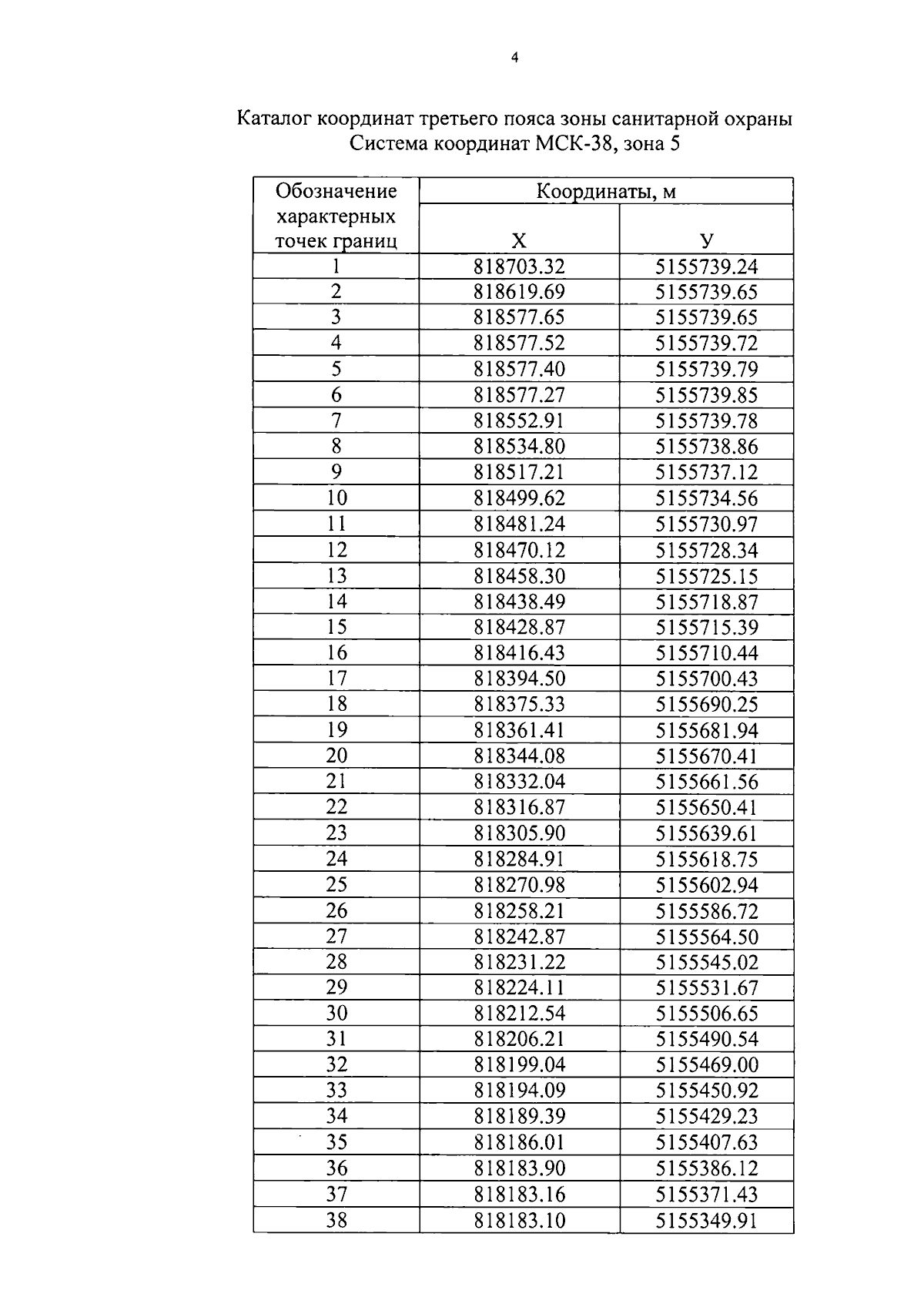
"Об установлении зоны санитарной охраны группового водозабора для хозяйственно-питьевого водоснабжения п. Магистральный Казачинско-Ленского района Иркутской области, устанавливающей границы ЗСО подземного источника водоснабжения и ограничения использования земельных участков в границах поясов ЗСО"
(Зарегистрирован 25.11.2024 № 03-2437/24)
Номер опубликования: 3801202411260010
Дата опубликования: 26.11.2024
Страница №5 из 11:
Увеличить