Официальное опубликование правовых актов
ОФИЦИАЛЬНОЕ ОПУБЛИКОВАНИЕ
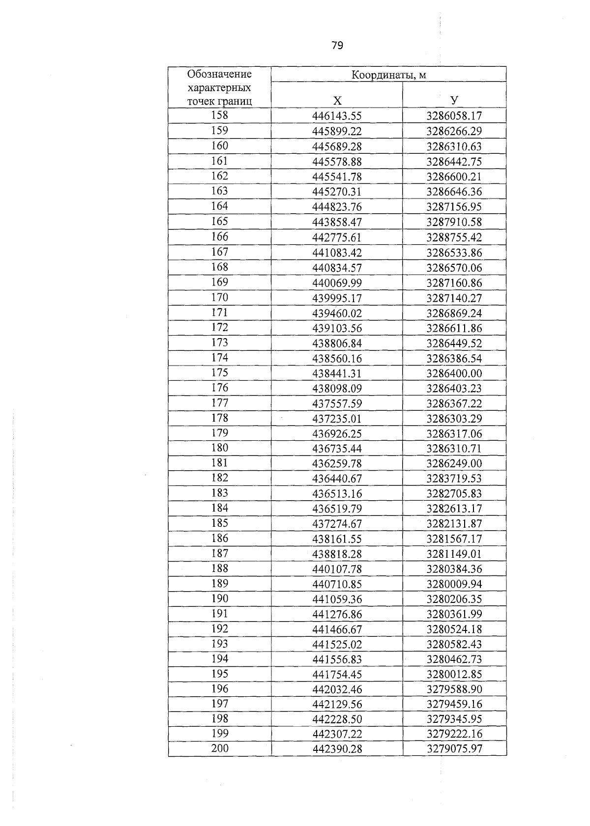
Приказ Министерства природных ресурсов и экологии Иркутской области от 30.08.2024 № 66-56-мпр
"О внесении изменений в приказ министерства природных ресурсов и экологии Иркутской области от 25 октября 2022 года № 66-56-мпр"
(Зарегистрирован 02.09.2024 № 03-1756/24)
Номер опубликования: 3801202409030003
Дата опубликования: 03.09.2024
Страница №79 из 84:
Увеличить