Официальное опубликование правовых актов
ОФИЦИАЛЬНОЕ ОПУБЛИКОВАНИЕ
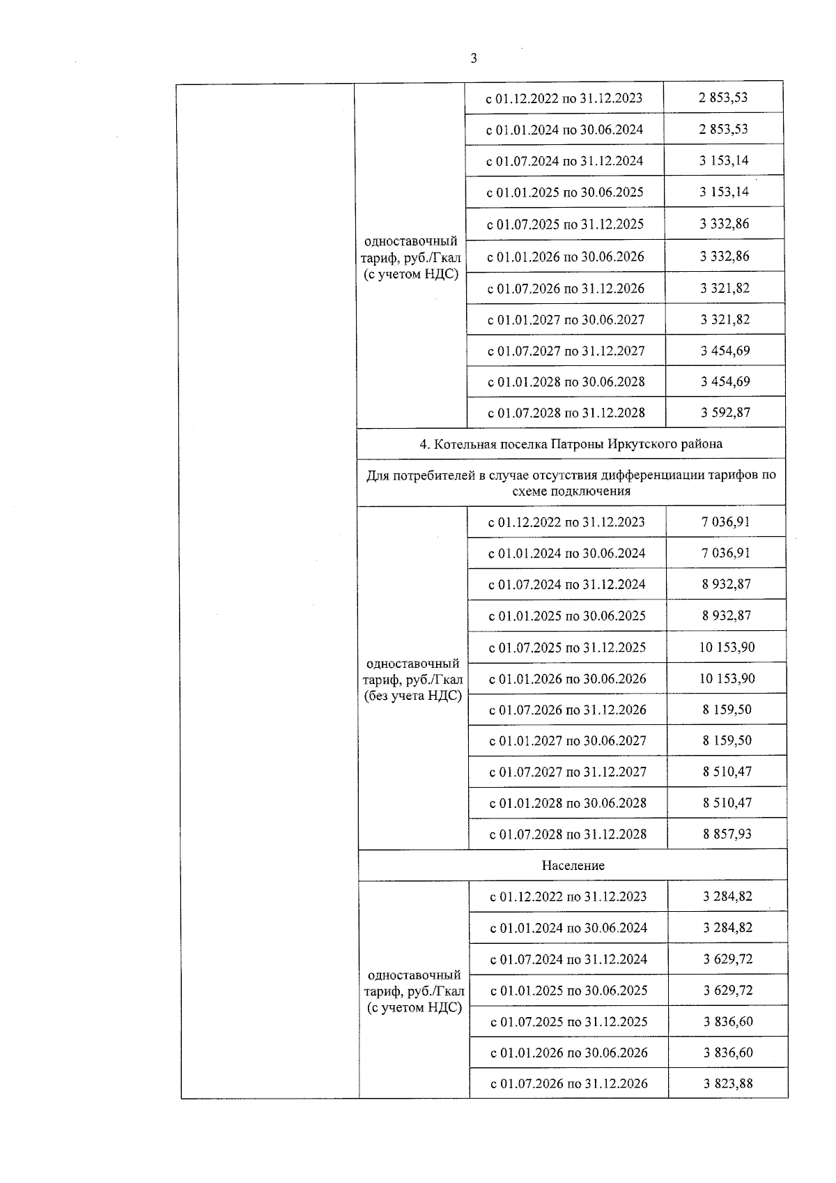
Приказ службы по тарифам Иркутской области от 05.07.2024 № 79-110-спр
"О внесении изменений в отдельные приказы службы по тарифам Иркутской области"
(Зарегистрирован 08.07.2024 № 04-1337/24)
Номер опубликования: 3801202407100007
Дата опубликования: 10.07.2024
Страница №3 из 6:
Увеличить