Официальное опубликование правовых актов
ОФИЦИАЛЬНОЕ ОПУБЛИКОВАНИЕ
Приказ Министерства природных ресурсов и экологии Иркутской области от 28.05.2024 № 66-34-мпр
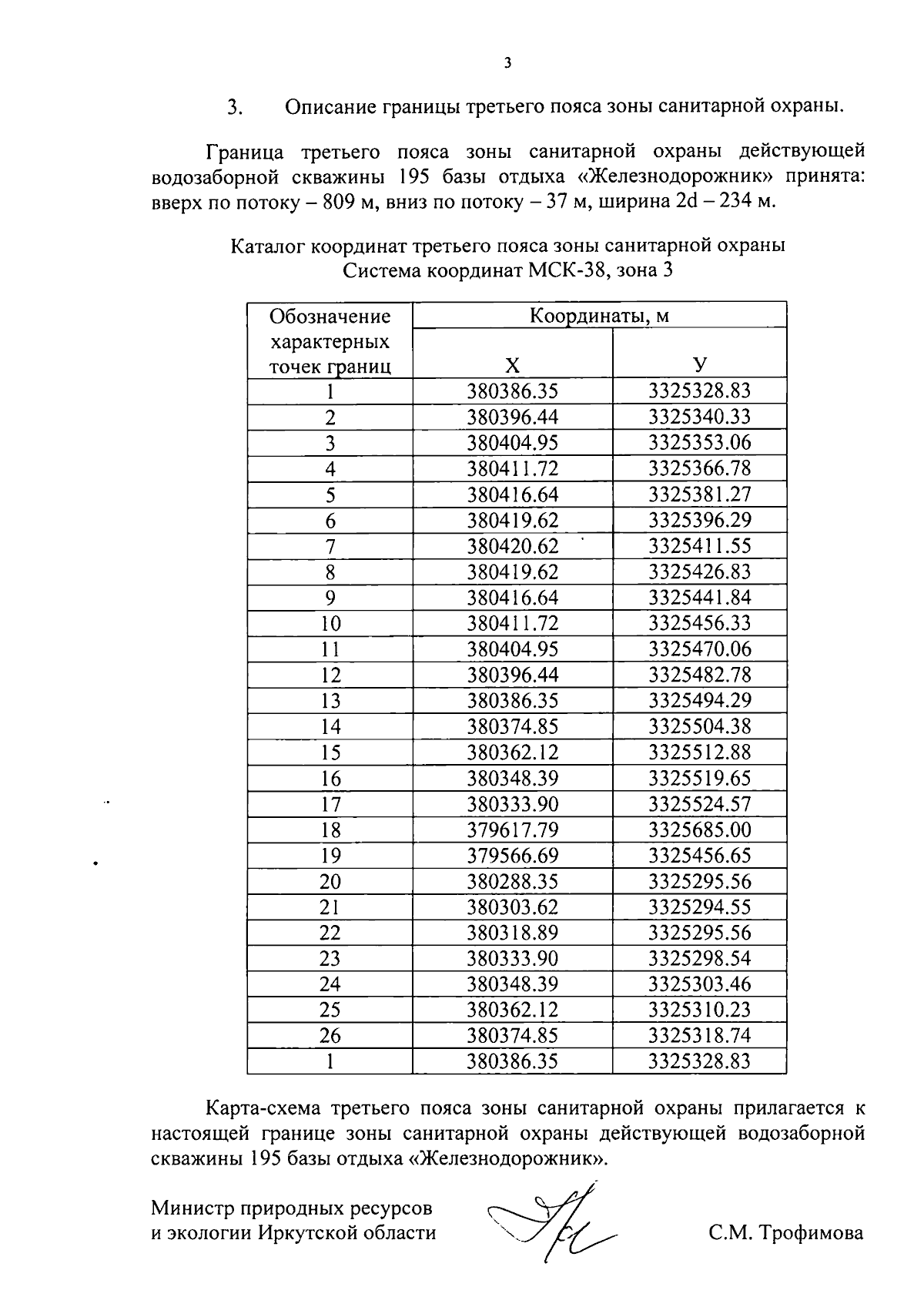
"Об установлении зоны санитарной охраны действующей водозаборной скважины 195 базы отдыха "Железнодорожник"
(Зарегистрирован 29.05.2024 № 03-1020/24)
Номер опубликования: 3801202405290009
Дата опубликования: 29.05.2024
Страница №4 из 9:
Увеличить