Официальное опубликование правовых актов
ОФИЦИАЛЬНОЕ ОПУБЛИКОВАНИЕ
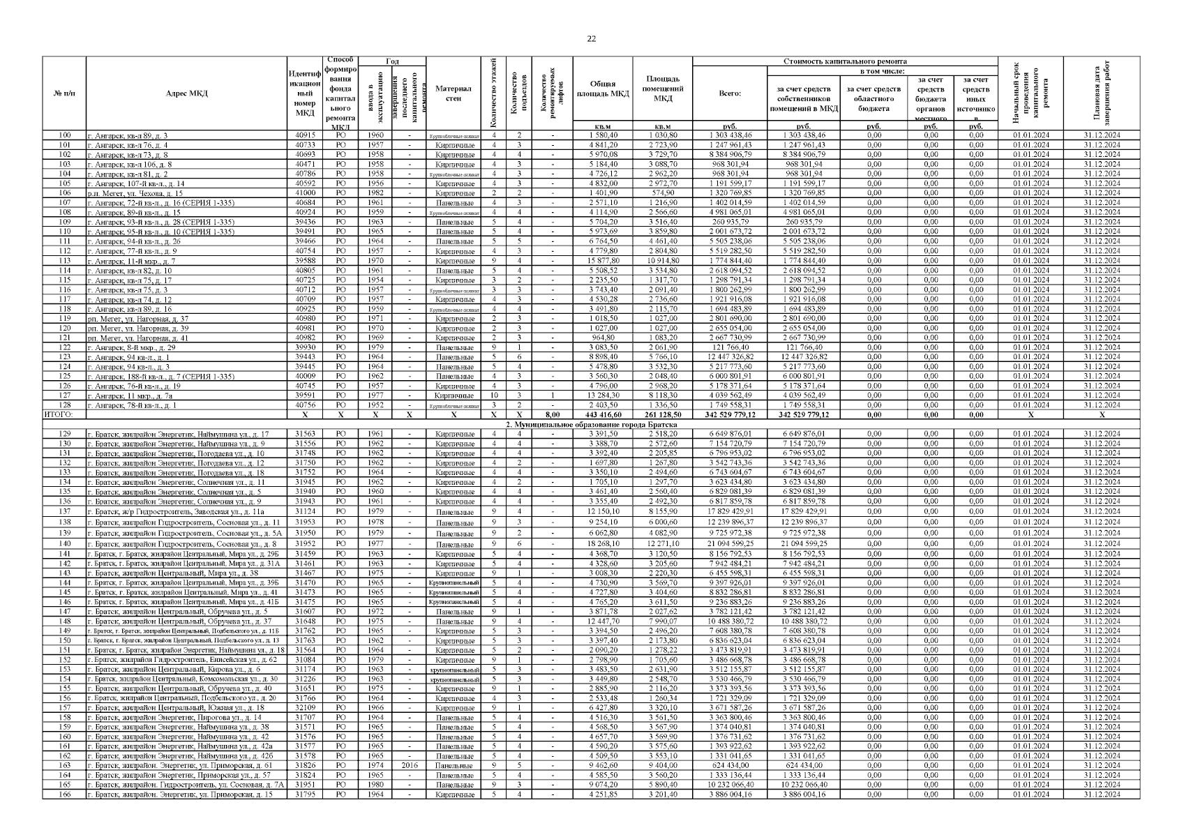
Приказ Министерства жилищной политики и энергетики Иркутской области от 22.05.2024 № 58-11-мпр
"О внесении изменения в краткосрочный план реализации в 2023-2025 годах региональной программы капитального ремонта общего имущества в многоквартирных домах на территории Иркутской области"
(Зарегистрирован 22.05.2024 № 03-1001/24)
Номер опубликования: 3801202405280033
Дата опубликования: 28.05.2024
Страница №23 из 82:
Увеличить