Официальное опубликование правовых актов
ОФИЦИАЛЬНОЕ ОПУБЛИКОВАНИЕ
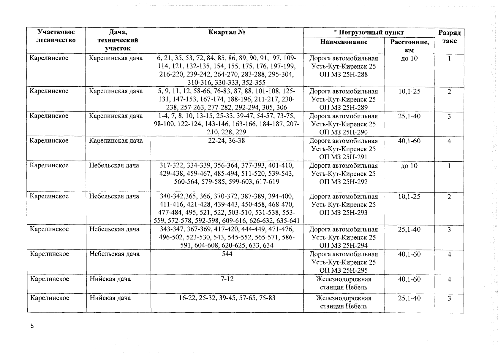
Приказ Министерства лесного комплекса Иркутской области от 18.03.2024 № 91-20-мпр
"Об утверждении распределений лесных кварталов по разрядам такс на территории Киренского, Кировского, Куйтунского, Мамского, Нижнеилимского, Нижнеудинского, Ольхонского, Осинского, Северного, Слюдянского, Тайшетского, Усольского лесничеств"
(Зарегистрирован 20.03.2024 № 03-0613/24)
Номер опубликования: 3801202403250019
Дата опубликования: 25.03.2024
Страница №6 из 94:
Увеличить