Официальное опубликование правовых актов
ОФИЦИАЛЬНОЕ ОПУБЛИКОВАНИЕ
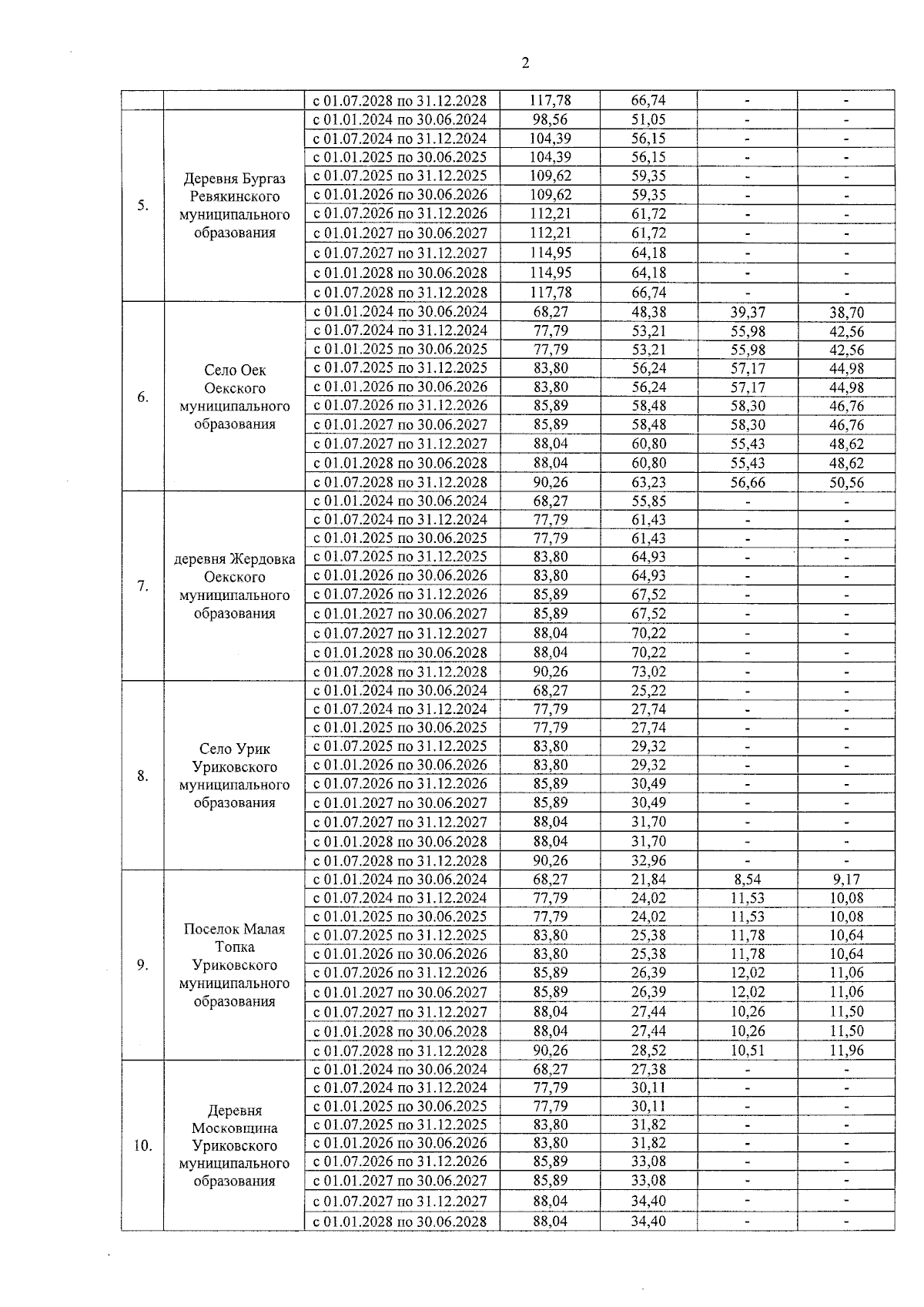
Приказ службы по тарифам Иркутской области от 04.12.2023 № 79-393-спр
"Об установлении долгосрочных тарифов на питьевую воду и водоотведение для потребителей ООО "Южнобайкальское" (ИНН 3848006527) на территории Иркутского района"
(Зарегистрирован 06.12.2023 № 04-3050/23)
Номер опубликования: 3801202312070009
Дата опубликования: 07.12.2023
Страница №4 из 9:
Увеличить