Официальное опубликование правовых актов
ОФИЦИАЛЬНОЕ ОПУБЛИКОВАНИЕ
Приказ Министерства жилищной политики, энергетики и транспорта Иркутской области от 22.07.2019 № 58-30-мпр
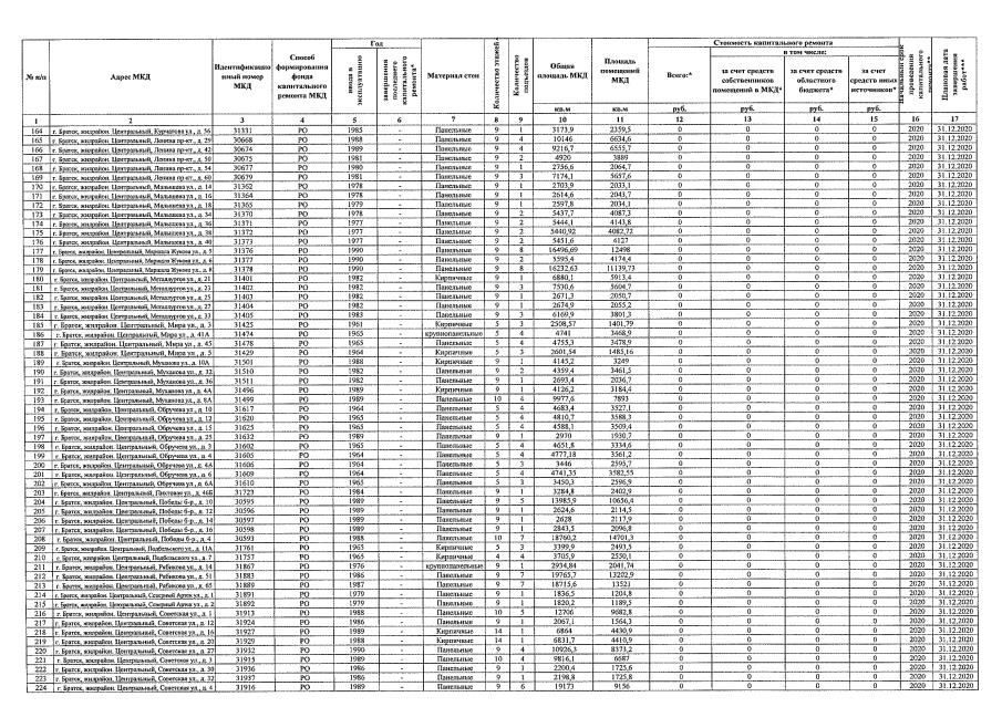
"Об утверждении краткосрочного плана реализации в 2020-2022 годах региональной программы капитального ремонта общего имущества в многоквартирных домах на территории Иркутской области на 2014-2043 годы"
Номер опубликования: 3801201907230002
Дата опубликования: 23.07.2019
Страница №5 из 61:
Увеличить