Официальное опубликование правовых актов
ОФИЦИАЛЬНОЕ ОПУБЛИКОВАНИЕ
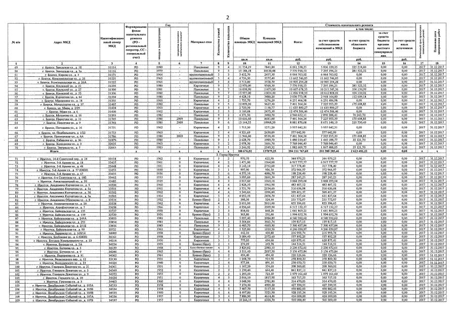
Приказ Министерства жилищной политики, энергетики и транспорта Иркутской области от 01.04.2019 № 58-12-мпр
"О внесении изменения в приказ министерства жилищной политики, энергетики и транспорта Иркутской области от 27 марта 2017 года № 47-мпр"
Номер опубликования: 3801201904030003
Дата опубликования: 03.04.2019
Страница №3 из 63:
Увеличить