Официальное опубликование правовых актов
ОФИЦИАЛЬНОЕ ОПУБЛИКОВАНИЕ
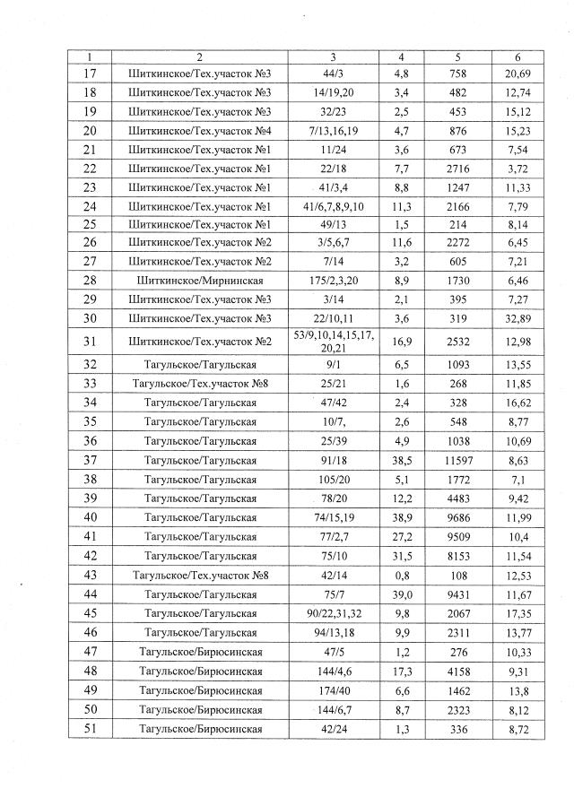
Приказ Министерства лесного комплекса Иркутской области от 29.03.2019 № 22-мпр
"Об установлении коэффициентов для определения расходов на обеспечение проведения мероприятий по охране, защите, воспроизводству лесов"
Номер опубликования: 3801201904010002
Дата опубликования: 01.04.2019
Страница №3 из 6:
Увеличить